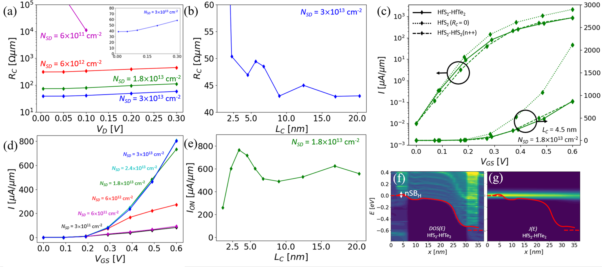
Fig. 2: Results for the HfS2-HfTe2 TC.
From: Fundamentals of low-resistive 2D-semiconductor metal contacts: an ab-initio NEGF study

a shows the contact resistance as a function of the bias for several doping concentrations for LC = 4.5 nm, the inset showing the results for the highest doping on a linear scale. b shows the influence of LC on RC for NSD = 3×1013 cm−2. c shows the IV curve for a DG-MOSFET with LC = 4.5 nm, Lext = 4.9 nm and NSD = 1.8×1013 cm−2 as well as the IV for a reference case with ohmic contacts and a reference case using a highly doped HfS2 layer for the metal TC (NSD = 4.2×1013 cm−2 in the top layer. We observed a saturation of the contact resistance when NSD was increased above 3×1013 cm−2 for either the top or bottom layer). d, e show, respectively, the current and ION, at a fixed IOFF and VD of 0.01 μA/μm and 0.6 V, respectively, for several values of NSD and LC to demonstrate the influence of doping concentration and contact overlap length. The current is normalized by the gate perimeter, i.e., the current is divided by the gate width times the number of gates, as typically reported in the literature. f, g show, respectively, the DOS and current spectrum within the device. The full red line denotes the bottom of the conduction band in the semiconductor and the dashed lines denote the Fermi level in the metal.