Fig. 9: Results for the WS2 2D–3D TC.
From: Fundamentals of low-resistive 2D-semiconductor metal contacts: an ab-initio NEGF study

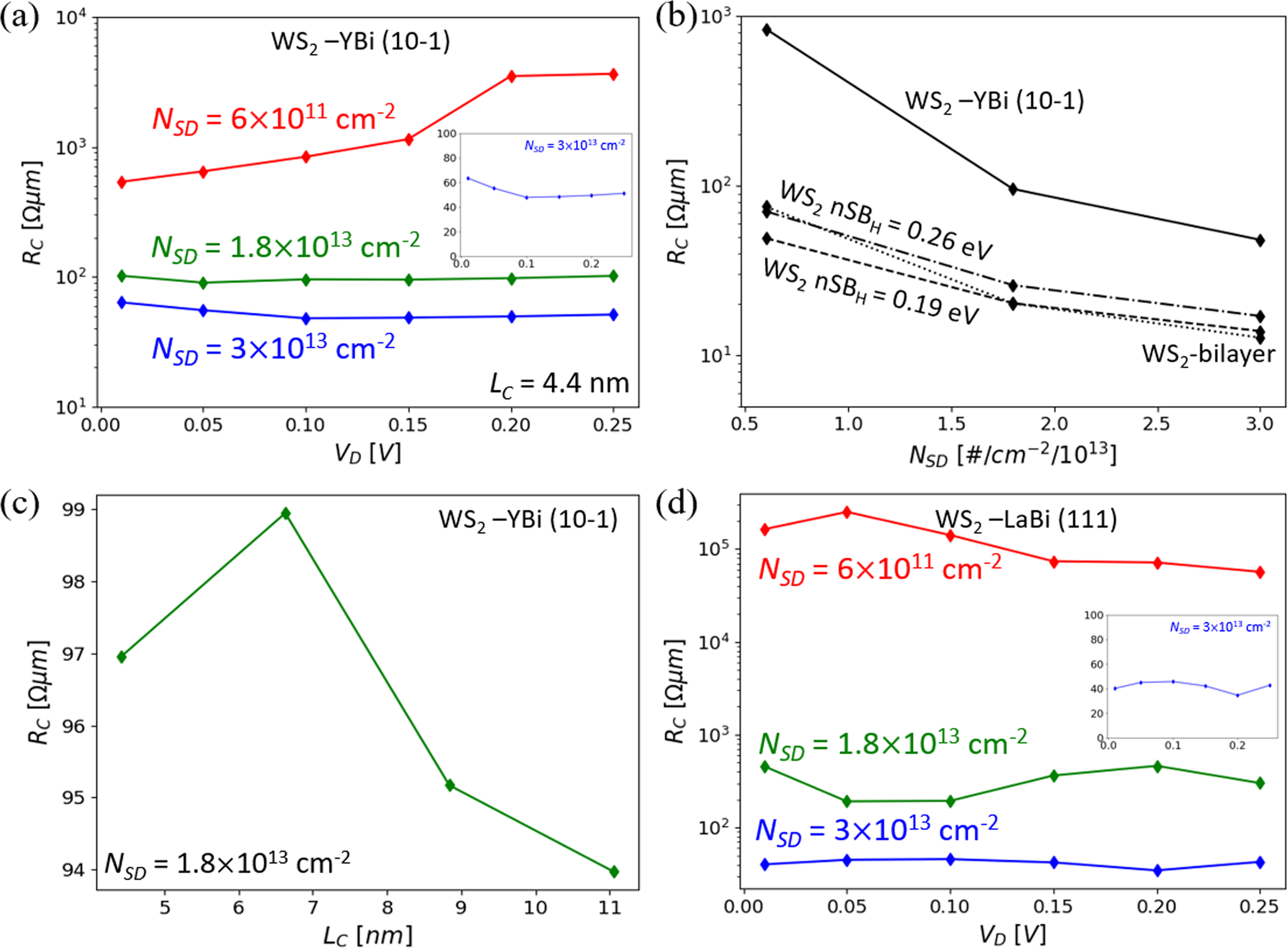
The contact resistances extracted from a single WS2-YBi (10–1) TC simulation and a single WS2-LaBi (111) TC simulation are shown for several values of LC and NSD. In a, LC was set to 4.4 nm and the contact resistances for the YBi (10–1) TC are shown as a function of the bias for several values of NSD. In b, average RC values of a monolayer of WS2 with Schottky contacts (simulated using a phenomenological self-energy term as boundary conditions)30,31 and a bilayer of WS2 vdW TC configuration are shown as a function of doping, as a reference. In c, NSD was set to 1.8×1013 cm−2 and LC was varied for the YBi (10–1) TC. The graph shows the average RC over all bias conditions as a function of LC. d shows the contact resistances for the LaBi (111) TC as a function of the bias for several values of NSD.