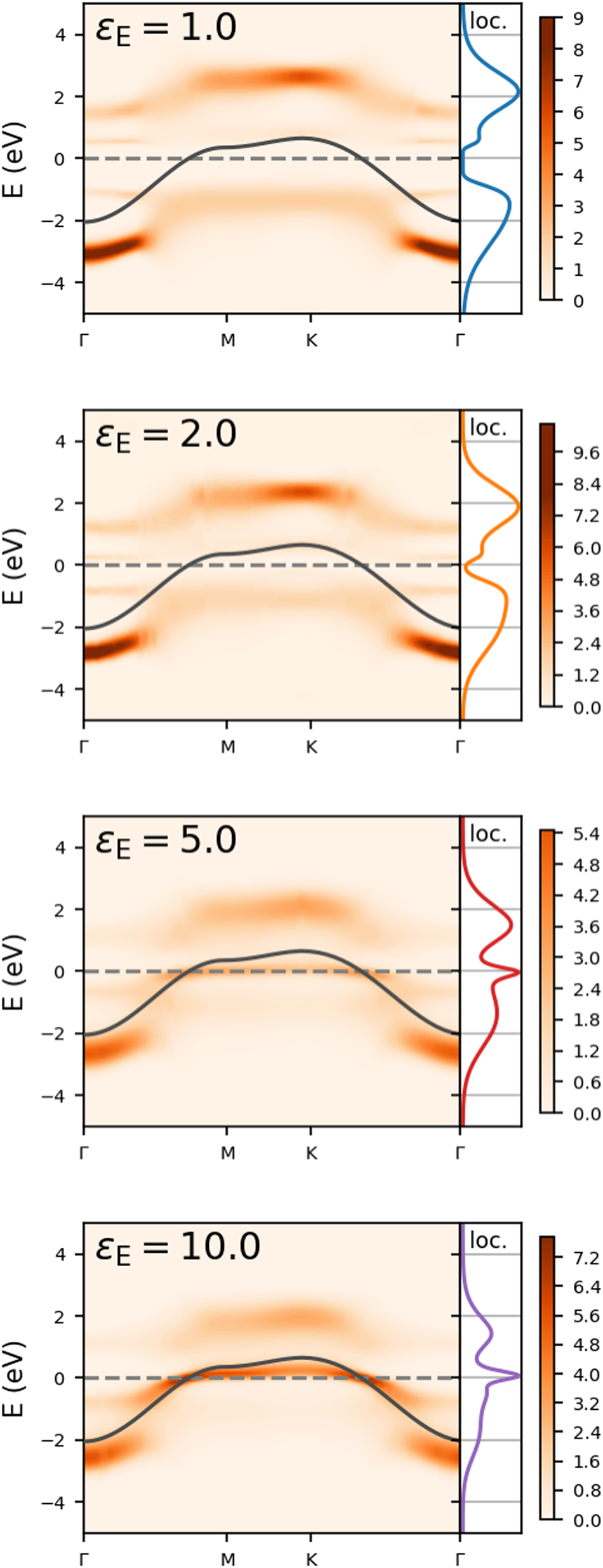
Fig. 2: Spectral function A(k, E) of the monolayer depending on the environmental dielectric constant εE.

The Fermi level is at E = 0 (dashed line). The black curve is the non-interacting dispersion. To the right of every momentum-resolved spectral function, the corresponding local part is shown.