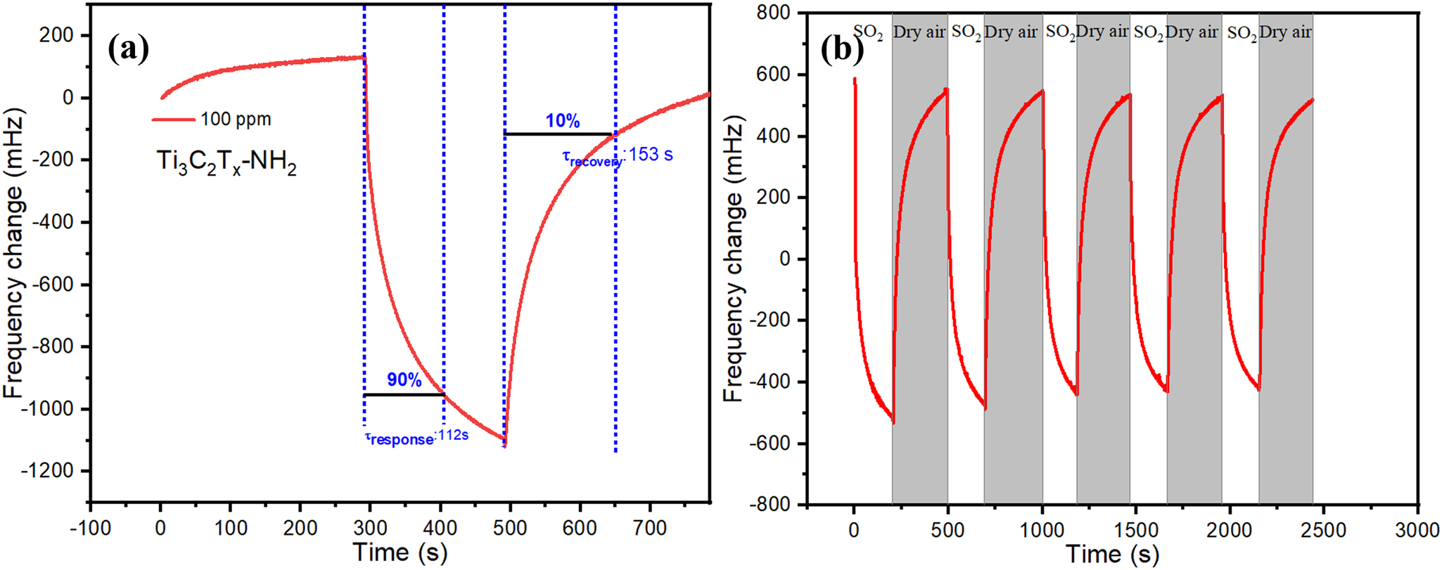
Fig. 4: Sensing characteristics of Ti3C2Tx-NH2-25 MXene sensors.

a Response and recovery time calculated for 100 ppm of SO2. b Cycling performance of Ti3C2Tx-NH2 MXene Sensors in response to SO2 at 100 ppm level.

a Response and recovery time calculated for 100 ppm of SO2. b Cycling performance of Ti3C2Tx-NH2 MXene Sensors in response to SO2 at 100 ppm level.