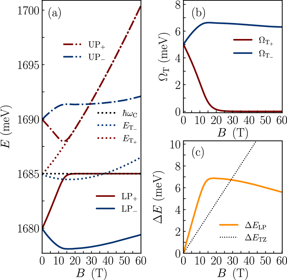
Fig. 4: Magnetic field dependence of trion-polariton spectrum.
From: Theory of magnetotrion-polaritons in transition metal dichalcogenide monolayers

a Energy of trion-polariton branches versus the magnetic field for atomic monolayer WSe2. Red [blue] curves correspond σ+[−] circular polarizations. The increase of the magnetic field leads to a collapse of Rabi splitting for σ+-polarized trions, and the respective increase of Rabi splitting for σ−-polarized trions. b Trion-photon coupling energy versus the magnetic field calculated via Eq. (26). c Zeeman splitting of bare trions (dotted line) and trion-polaritons (solid line). The reduction [enhancement] of Rabi splitting with increasing magnetic field for σ+[−]-polarized results in a large increase of Zeeman splitting of trion-polaritons.