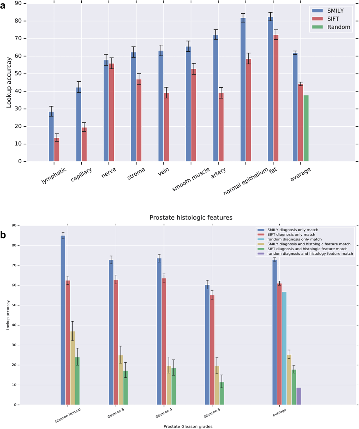
Fig. 3

SMILY search accuracy from large-scale quantitative evaluation using pathologist-provided annotations. a Results for histologic feature match in prostate specimens, in comparison with a traditional image feature extractor (scale-invariant feature transform, SIFT) and random search. b Results for prostate cancer Gleason grade and histologic feature match, in comparison with the same baselines. Error bars indicate 95% confidence intervals (Methods)