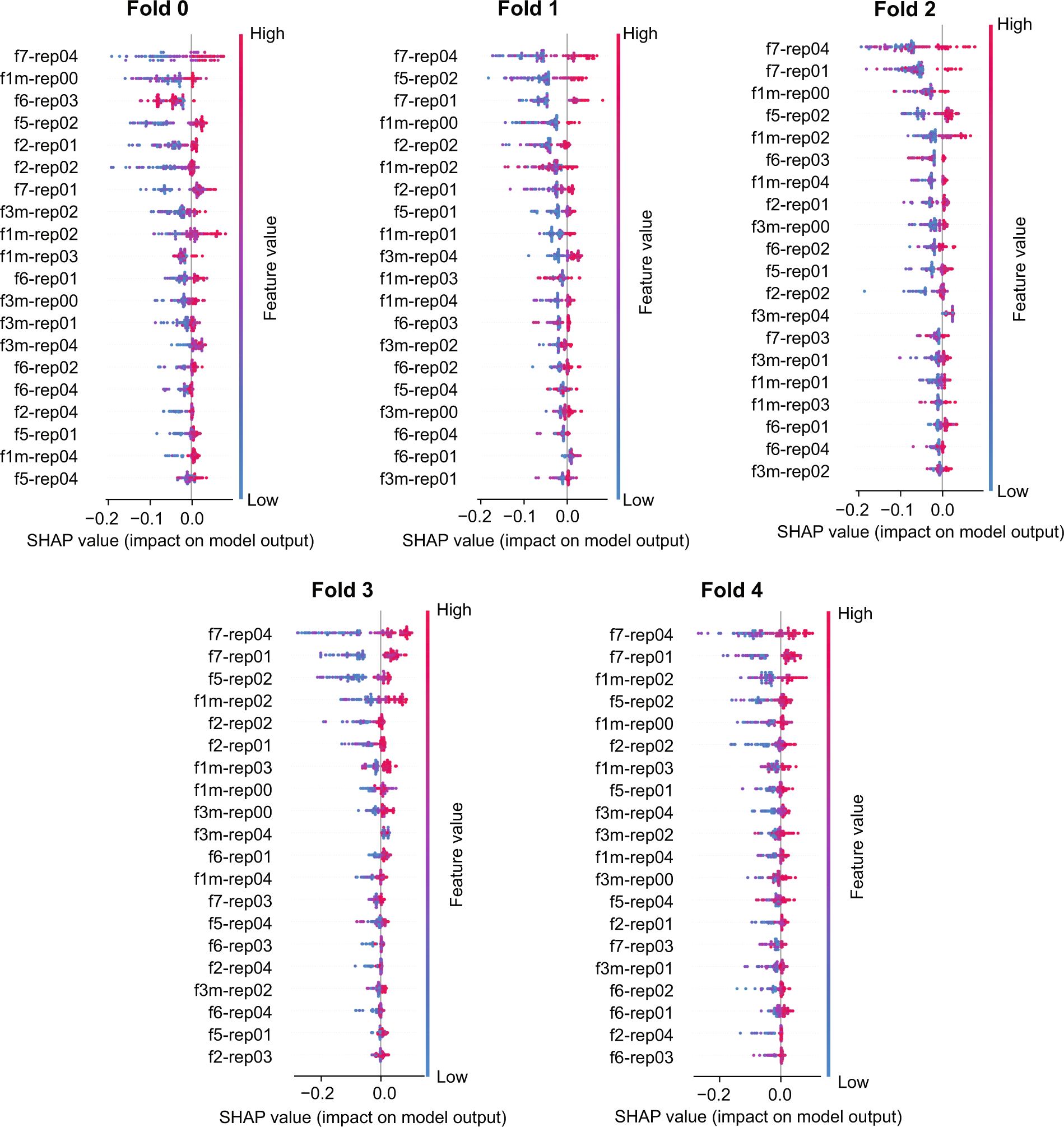
Fig. 3
From: Deep learning algorithm predicts diabetic retinopathy progression in individual patients

SHAP plots summarizing the pointwise and average contribution of each deep convolutional neural network (DCNN) to the random forest aggregation. SHAP plots outlining the pointwise contribution of each DCNN. In this example, the SHAP analysis is related to the five folds used for the prediction of DR progression at month 24 is showed. The DCNNs are ordered in importance from top to bottom. The naming convention of the DCNNs highlights the field (‘f1,’ ‘f2,’ etc.) and repetition (‘rep00,’ ‘rep01,’ etc.)