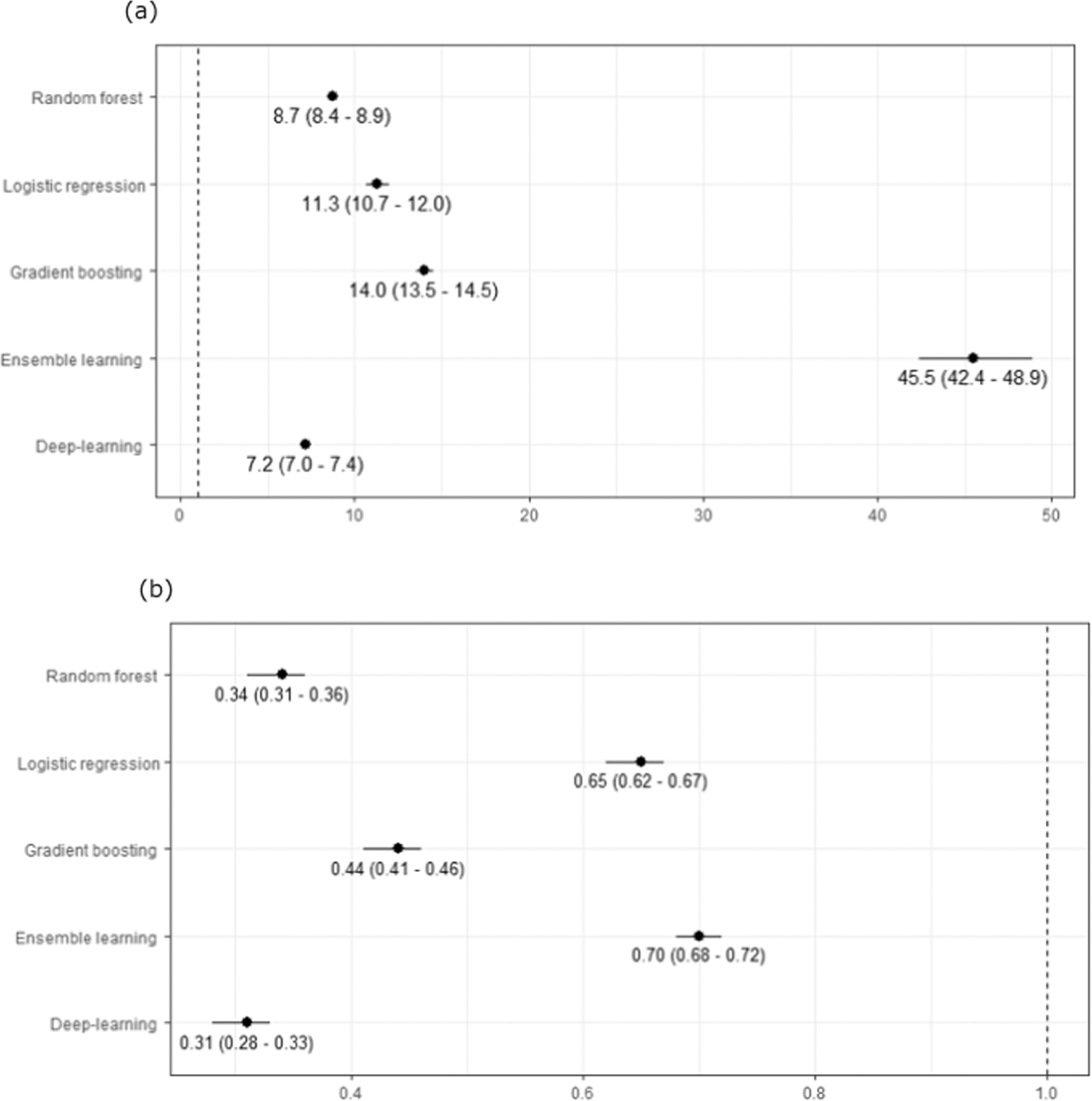
Fig. 5: Positive and negative likelihood ratios for machine-learning models for detecting familial hypercholesterolaemia.

Based on validation cohort of 1,006,943 patients: a positive likelihood ratios (95% confidence interval) and b negative likelihood ratios (95% confidence interval).