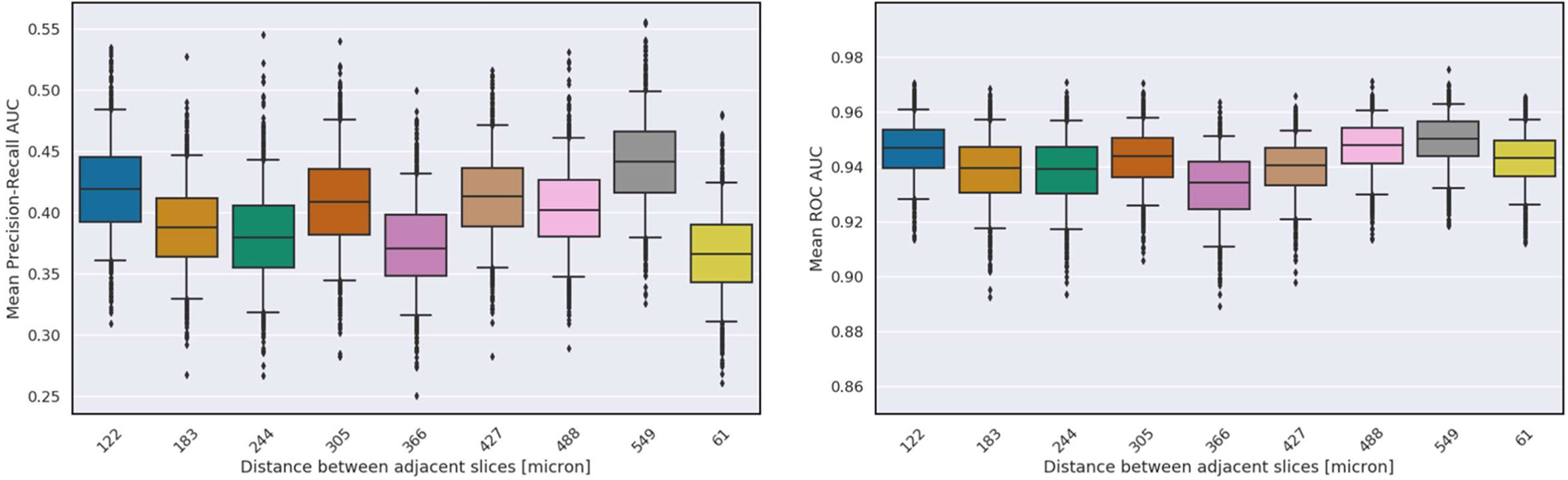
Fig. 9: The effect of the resolution along the Z-axis on SLIVER-net’s performance.
From: Automated identification of clinical features from sparsely annotated 3-dimensional medical imaging

Top: Mean precision-recall AUC across all biomarkers. Bottom: Mean ROC AUC across all biomarkers. Error bars represent 95% confidence interval (CI) calculated using a bootstrapping procedure.