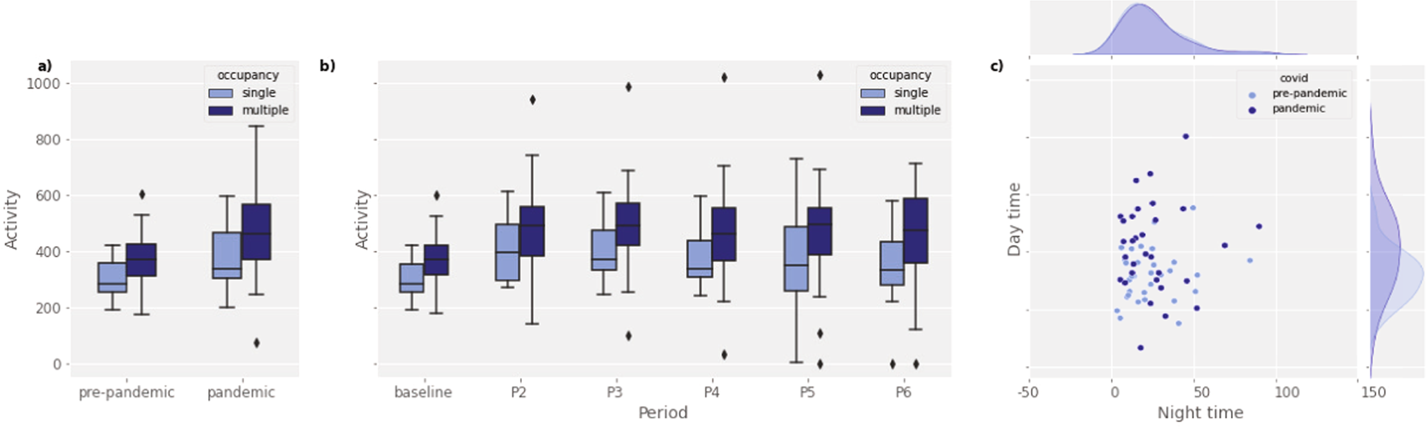
Fig. 3: Changes in mean daily activity (sensor triggers) level during COVID-19.
From: The effect of COVID-19 on the home behaviours of people affected by dementia

a Mean daily activity across households according to occupancy before and during COVID-19 (boxplot shows the minima and maxima values, lower and upper quartiles, and the medians); b Mean daily activity across households according to occupancy during the different pandemic periods (boxplot shows the minima and maxima values, lower and upper quartiles, and the medians) and c Distribution of mean daily activity across households during day and night before and during COVID-19.