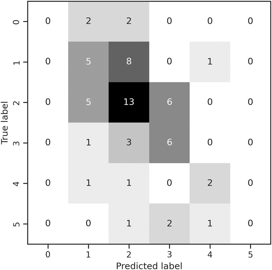
Fig. 1: Results from SARA prediction.
From: SARAspeech—Feasibility of automated assessment of ataxic speech disturbance

Confusion matrix of true and predicted SARA-scores based on SARAspeech machine learning approach using a broad set of voice features.