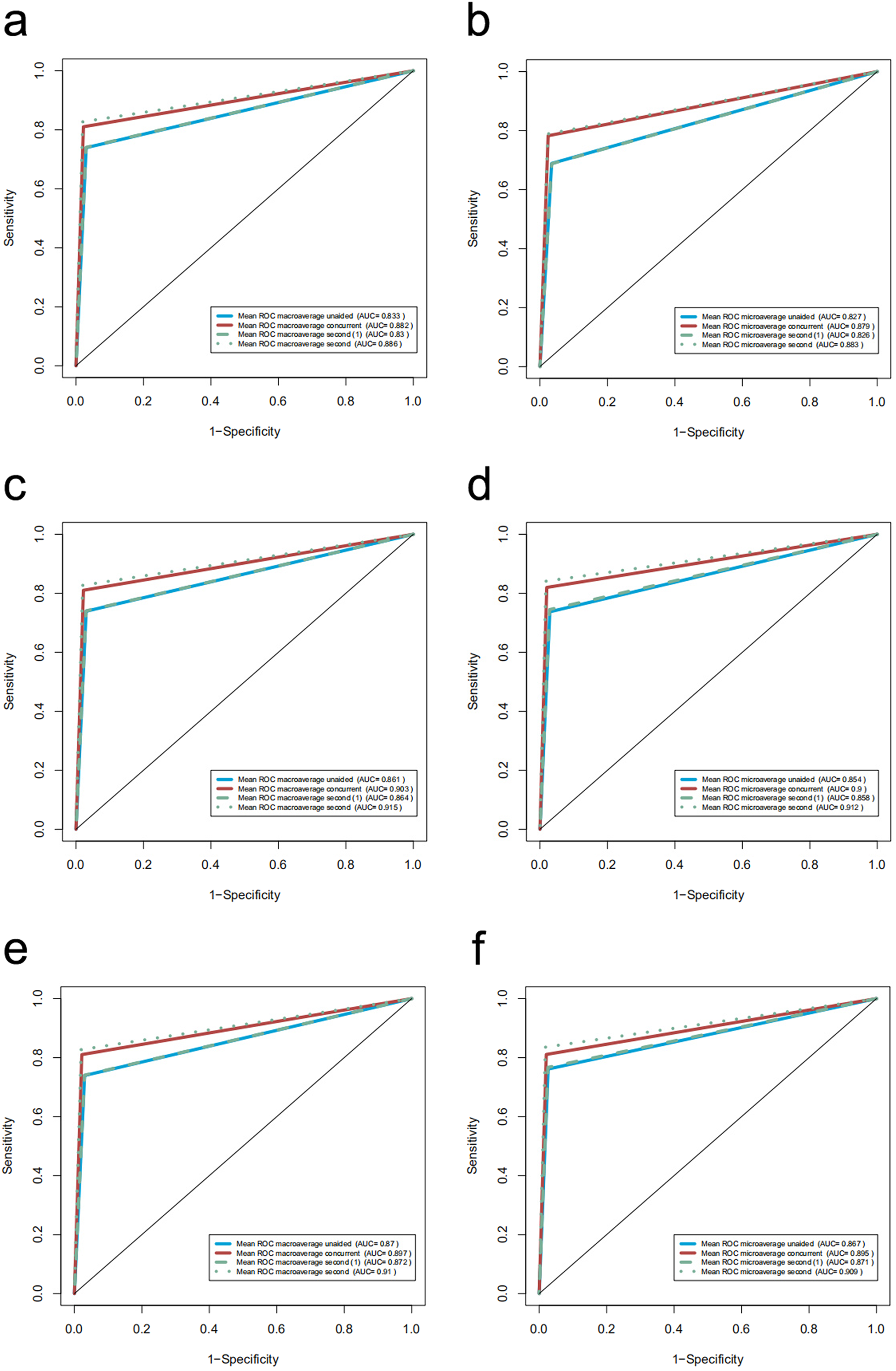
Fig. 3: The performance of sonologists of three expertise levels in recognizing ten fetal neurosonographic image patterns with three reading modes.

Macroaverage and microaverage AUCs for training (a, b); for competent sonologists (c, d); for experts (e, f). When supported with PAICS in both concurrent mode and second mode, performance improved significantly for all three levels of sonologists.