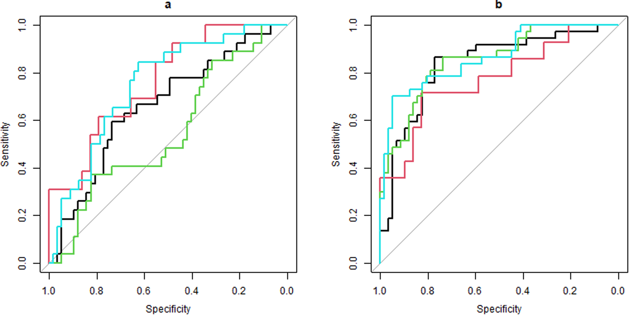
Fig. 2: ROC curves for the digital in-clinic, digital at-home, cognitive, and A-IADL score.

a Classification of healthy controls relative to preclinical AD. b Classification of healthy controls relative to prodromal AD. Black line shows digital in-clinic test curve, red line shows digital at-home test curve, green lines shows cognitive score curve, and light blue line shows A-IADL score curve. A-IADL Amsterdam instrumental activities of daily living, HC healthy control, PreAD Preclinical AD, ProAD Prodromal AD.