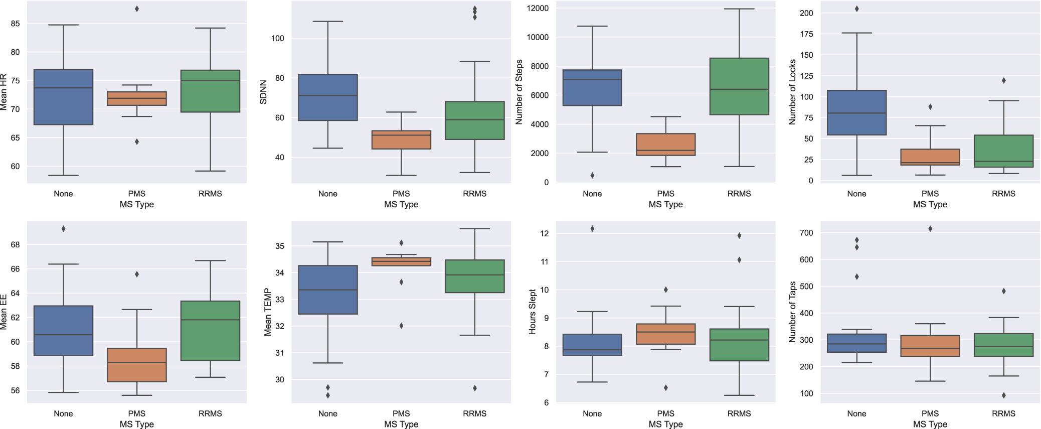
Fig. 2: Mobile and wearable sensor data distribution.
From: Modeling multiple sclerosis using mobile and wearable sensor data

Distribution of a subset of features for MS Type (None, RRMS and PMS). The horizontal line within the boxplot displays the median of the data, the box limits refer to the interquartile range (IQR), and the whiskers extend to the minimum and maximum values. The data points falling outside the whiskers are outliers.