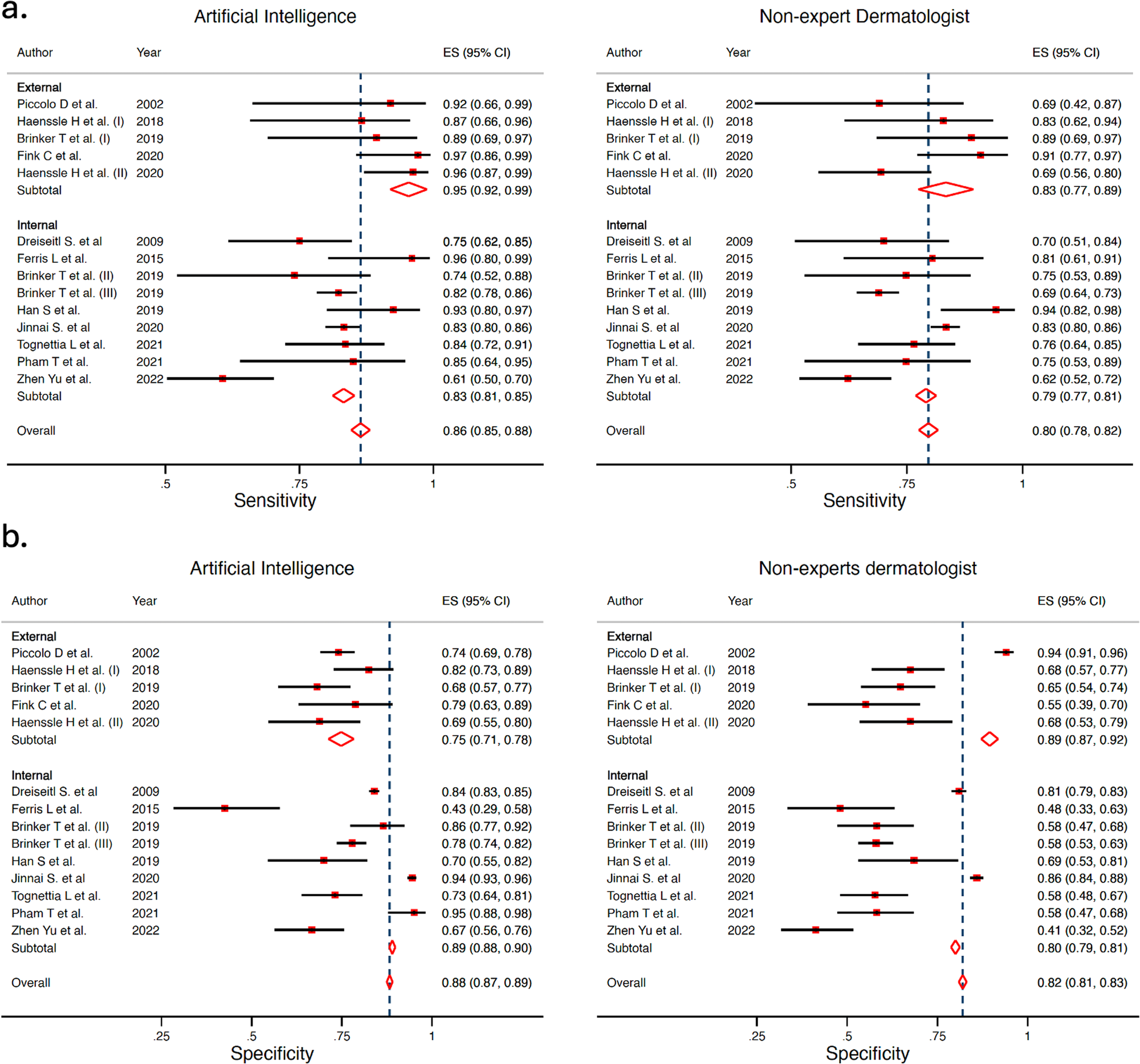
Fig. 8: Forest plots of studies showing artificial intelligence vs non-expert dermatologists sensitivity and specificity according to type of test set (external vs internal).

a Sensitivity for artificial intelligence (left) and for non-expert dermatologists (right). b Specificity for artificial intelligence (left) and for non-expert dermatologists (right).