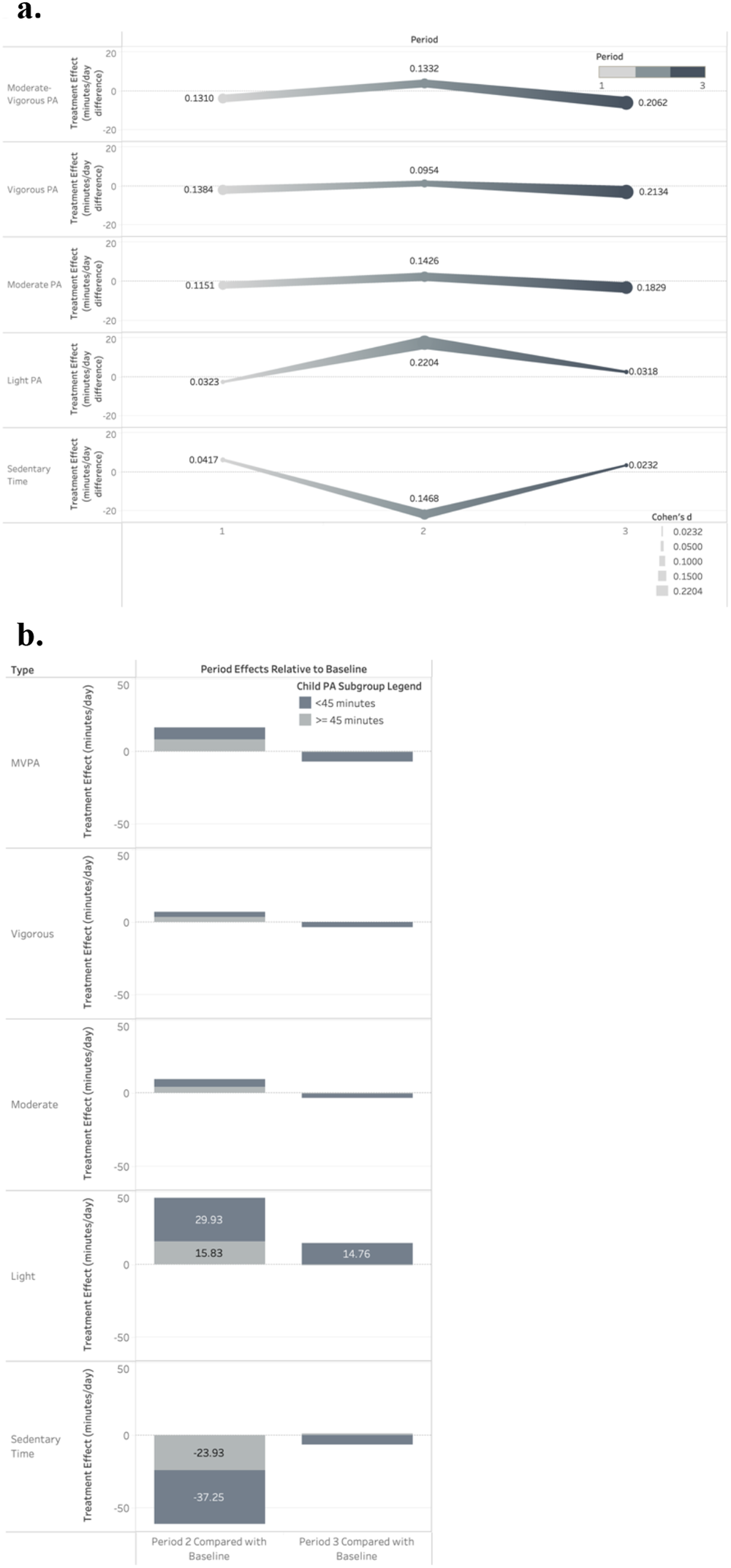
Fig. 3: Standardized treatment effects and stratified pa and sedentary time by children less than 45 min and at least 45 min of MVPA at baseline.

Plots of the effect size Cohen’s d of randomization to the VFB intervention are used to demonstrate patterns of PA and sedentary time over the course of three periods of intervention and by subpopulation MVPA stratum. The x-axis corresponds to the time period in 3-month intervals, and the y-axis is the standardized treatment effect size. When the bar is below a value of zero, the outcome was observed to be smaller in the intervention arm compared to the control arm (e.g., sedentary time). Down rows of each figure are each PA and sedentary time outcome observed over the intervention. Where effect size Cohen’s d is not presented, the y-axis represents the growth or decline in treatment effects for each period in time compared with the baseline period within each stratum of children with less than 45 min and at least 45 min of MVPA at baseline. a At 3-month follow-up, sedentary time was most strongly converted to light-intensity PA, and the effect reverted to approximately the baseline level by 6-month follow-up. b Children with under 45-min of PA at baseline had the largest decline in sedentary time between baseline and 3-month follow-up.