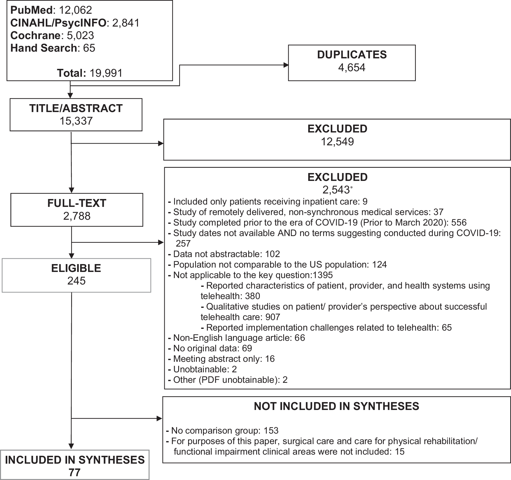
Fig. 1: Systematic review flow diagram.
From: Effectiveness of telehealth versus in-person care during the COVID-19 pandemic: a systematic review

The diagram depicts the evidence search and selection including number of included and excluded studies and the reason for exclusion. *The sum of excluded articles exceeds 2543 because reviewers were not required to agree on reasons for exclusion.