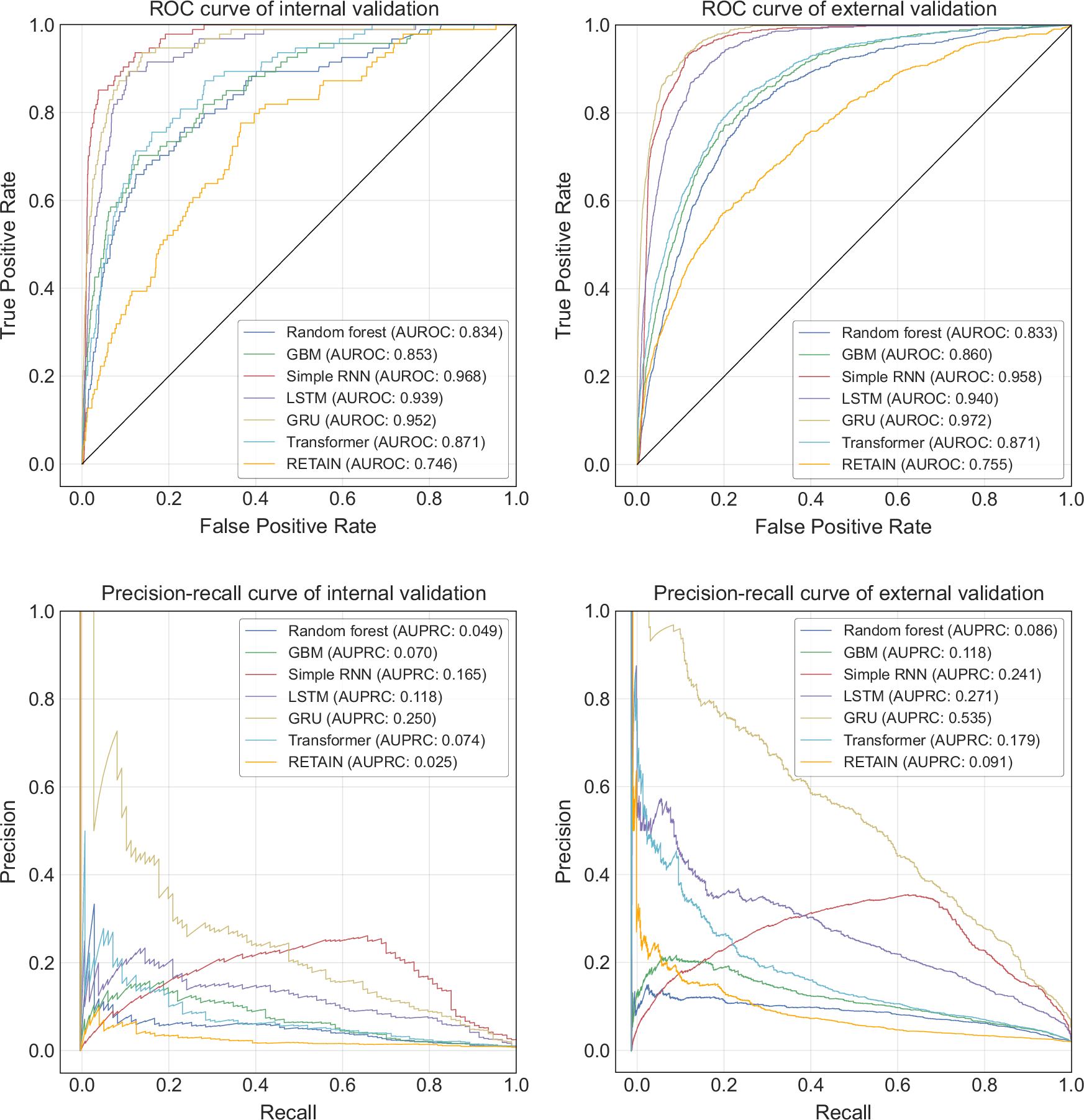
Fig. 2: Receiver operating characteristic and precision–recall curves of Clostridioides difficile infection prediction models.

Curves on the right side (external validation) are smoother than those on the left side (internal validation) because the amount of data for external validation was much larger than for internal validation. Note that all data from SNUBH were used for external validation, while only split hold-out data from SNUH (15% of the total) were used for internal validation.