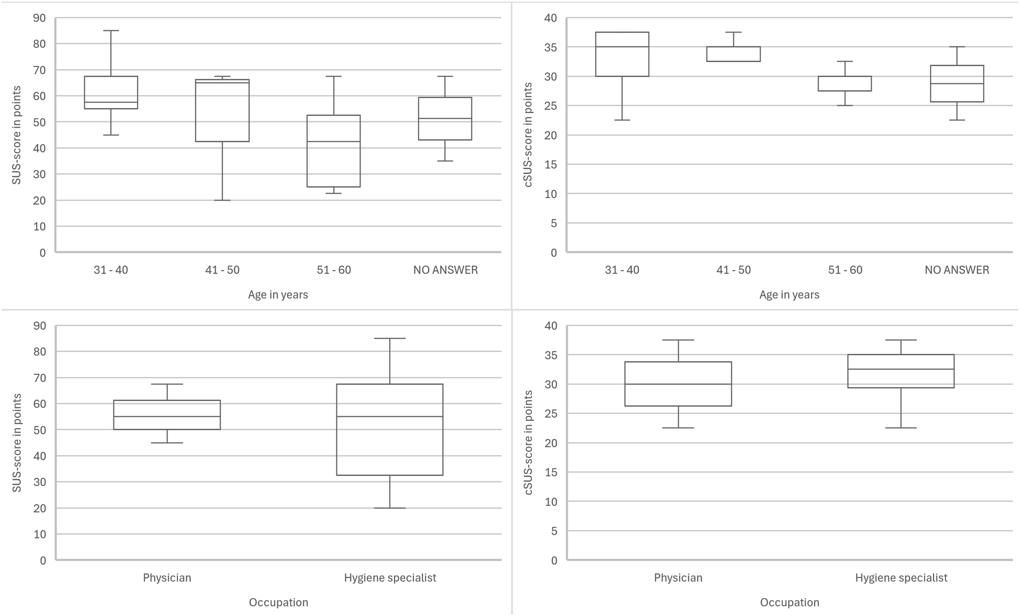
Fig. 6: SUS- and cSUS-scores of the evaluation focused on age and occupation.

SUS-score evaluation concerning age groups (top left), cSUS-score concerning age groups (top right), SUS-score concerning occupation (bottom left) and cSUS-score concerning occupation (bottom right).