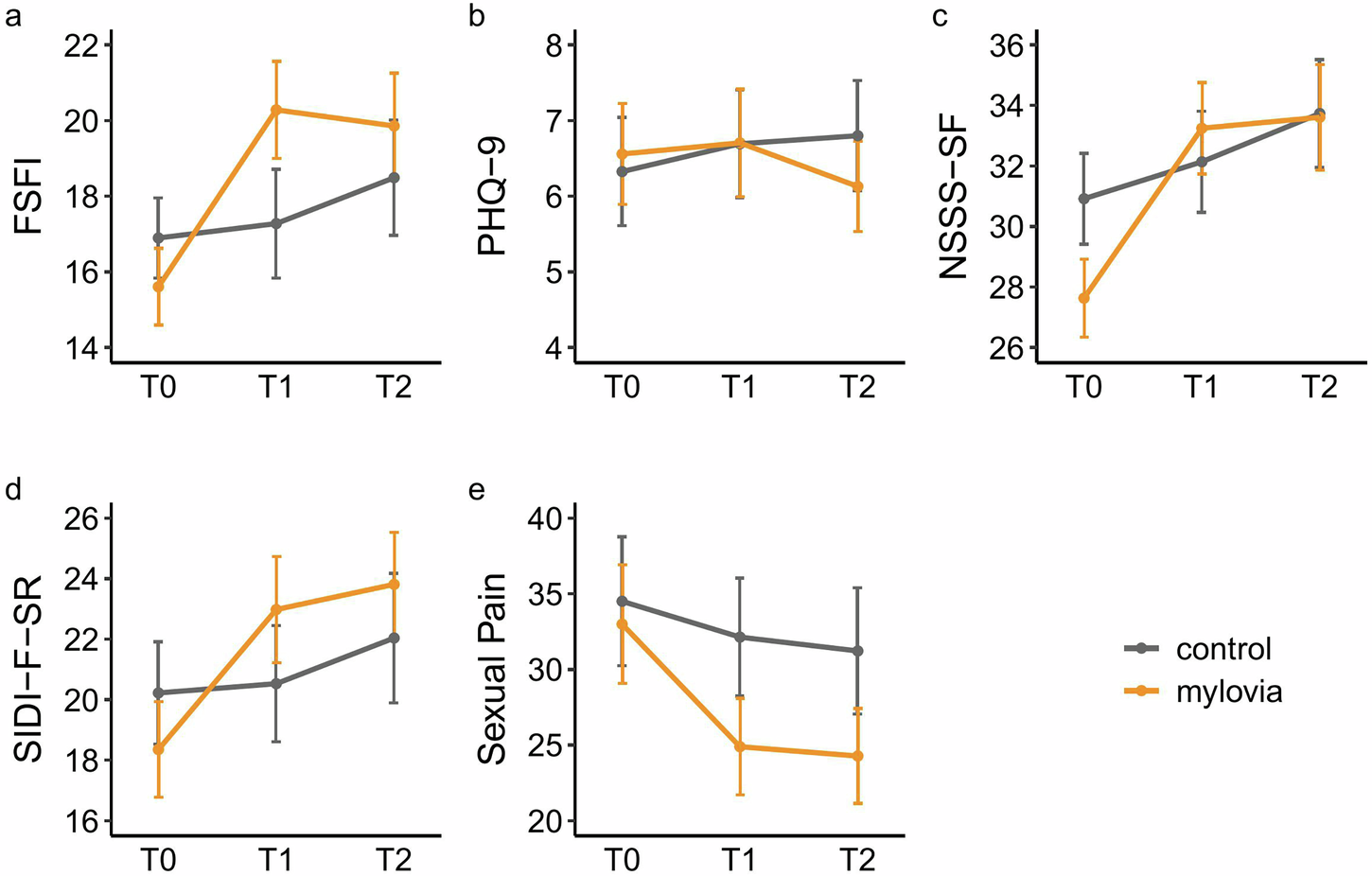
Fig. 2: Mean scores for primary, secondary and exploratory endpoints for the mylovia group and control group across the study period (ITT analyses).

a Sexual Functioning (Female Sexual Function Index, FSFI, scale range: 2–36); b Depressive Symptoms (Patient Health Questionnaire 9, PHQ-9, scale range: 0–27; c Sexual Satisfaction (New Sexual Satisfaction Scale Short Form, NSSS-SF, scale range: 12–60); d Sexual Desire (Sexual Interest and Desire Inventory-Female-Self-Report, SIDI-F-SR, scale range: 0–51); e Cognitions and behaviors related to sexual pain (self-compiled questionnaire, scale range: 0–100). Error bars represent the 95% confidence interval (CI). Figure created using the ggplot2 package in R.