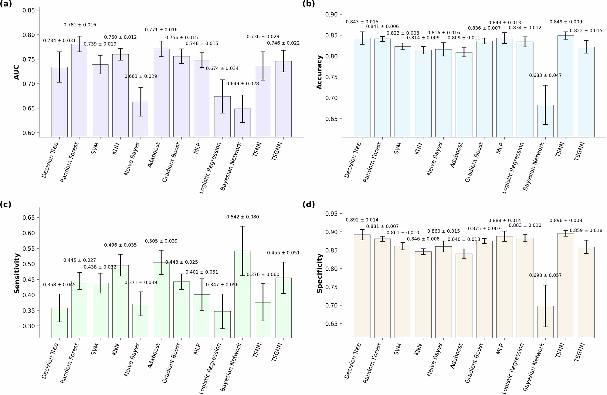
Fig. 2: ML model performance for.
From: Multidisciplinary prediction of running-related injuries using machine learning

a Area under the (receiver operating characteristic) curve (AUC), b accuracy, c sensitivity, and d specificity, when trained using only high-quality evidence-based risk factors (class 1 risk factors). Error bars denote 95% confidence interval. SVM support vector machine, KNN K-nearest neighbor, MLP multi-layer perceptron, TSNN time-sequenced neural network, TSGNN time-sequenced graph neural network. TSNN and TSGNN are novel algorithms. Figure was generated using matplotlib in python.