Extended Data Fig. 6: FTIR spectra.
From: LiMnO2 cathode stabilized by interfacial orbital ordering for sustainable lithium-ion batteries

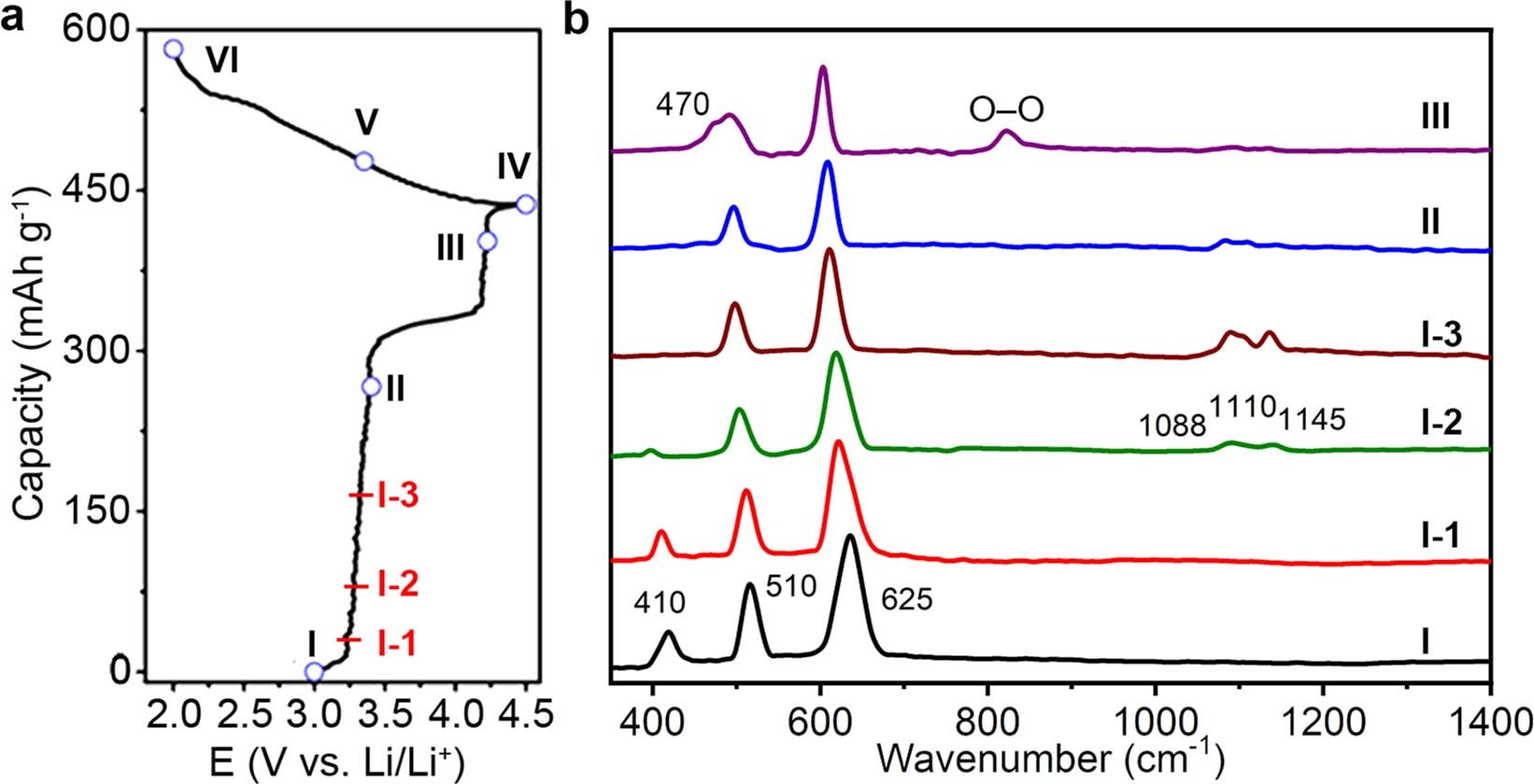
a, The first charge–discharge curve of the Mn3O4 nanoarray electrode at a current density of 0.05 A g−1 in the voltage range between 2.0 and 4.5 V (vs. Li/Li+). b, Ex situ FTIR spectra of the Mn3O4 nanoarray electrodes at different charge states. The peaks for the –OH group of HxMn1-x(Mn2)O4 (protonated Mn3O4) in the as-prepared Mn3O4 sample was not observed because of the final 300 °C annealing for the synthesis (Methods). Interestingly, when charged to potential I–2, three weak peaks located at 1088, 1110, and 1145 cm–1, corresponding to –OH group, were detected, indicating the Mn2+ extraction, H+ insertion, and subsequently the formation of protonated HxMn1-x(Mn2)O4.