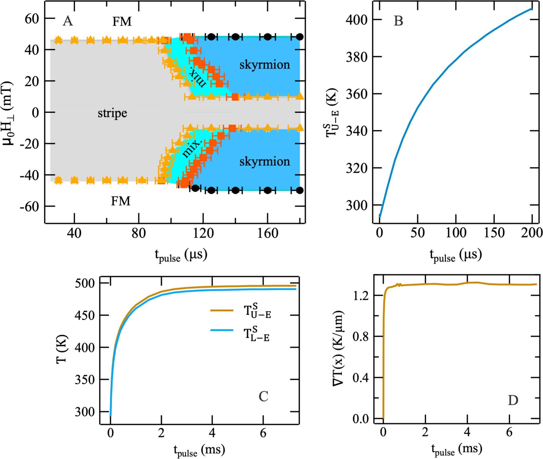
Extended Data Fig. 6: The phase diagram of skyrmion generation at different pulse durations in the [Ta/Co20Fe60B20/MgO]15 multilayer. | Nature Electronics

Extended Data Fig. 6: The phase diagram of skyrmion generation at different pulse durations in the [Ta/Co20Fe60B20/MgO]15 multilayer.

From: Thermal generation, manipulation and thermoelectric detection of skyrmions

Extended Data Fig. 6: The phase diagram of skyrmion generation at different pulse durations in the [Ta/Co20Fe60B20/MgO]15 multilayer.

a, The response of competing magnetic phases to different pulse durations (with a fixed amplitude Vh = 0.526 V) and magnetic fields. b, The dependence of the maximum temperatures at the upper (hot) edge \(\left( {T_{{\mathrm{U}} - {\mathrm{E}}}^{\mathrm{S}}} \right)\) on the pulse duration (tpulse). The nonlinear increase of \({\mathrm{T}}_{{\mathrm{U}} - {\mathrm{E}}}^{\mathrm{S}}\) following the increase of pulse duration can be attributed to the fast dissipation of heat through substrate. c,d, Following the continuous increase of pulse duration above 4 ms, the system approaches thermal equilibrium with a constant temperature at the hot edge \(\left( {{\mathrm{T}}_{{\mathrm{U}} - {\mathrm{E}}}^{\mathrm{S}} = 496K} \right)\) (c) and a constant temperature gradient in the multilayer T(x) = 1.3 K μm-1 (d).

Back to article page