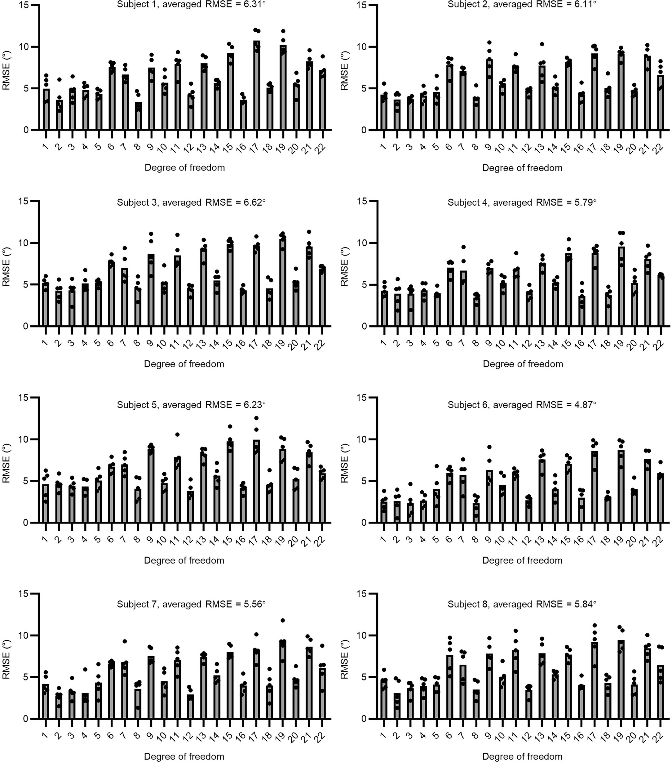
Extended Data Fig. 5: Wearing-position-robust tracking performance from 8 subjects (3 females, 5 males) with wrist circumference ranging from 12.8 cm to 18.4 cm (see Supplementary Table 4 for details).

The AI model for each subject is re-trained using the data from each individual subject. RMSE: root mean square error. (n = 5, independent measurements of 22 DOFs).