Fig. 2: Reaction optimization.
From: Enantioconvergent nucleophilic substitution via synergistic phase-transfer catalysis

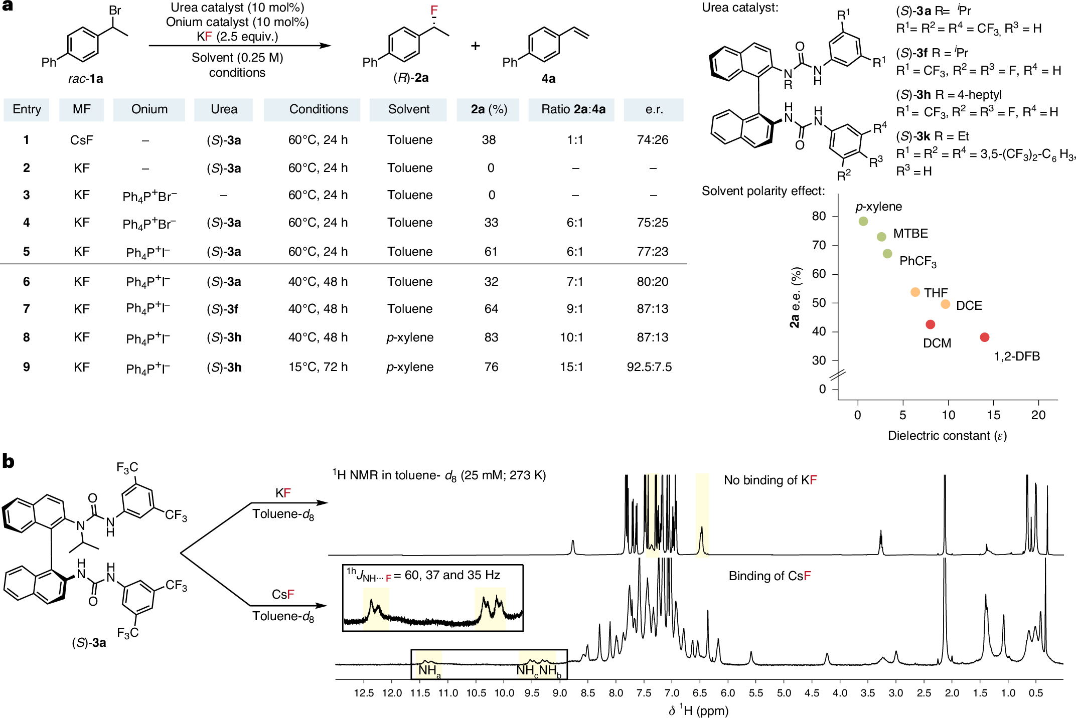
a, Optimization of enantioselective fluorination under S-HBPTC. Conditions: rac-1a (0.05 mmol) at 25 mM concentration. 19F NMR yields are reported. Enantiomeric ratios were determined using high-performance liquid chromatography with a chiral stationary phase. b, Spectroscopic study of the phase transfer of MF salts by bis-urea catalyst (S)-3a. 1,2-DFB, 1,2-difluorobenzene; DCE, dichloroethane; MBTE, methyl tert-butyl ester; THF, tetrahydrofuran.