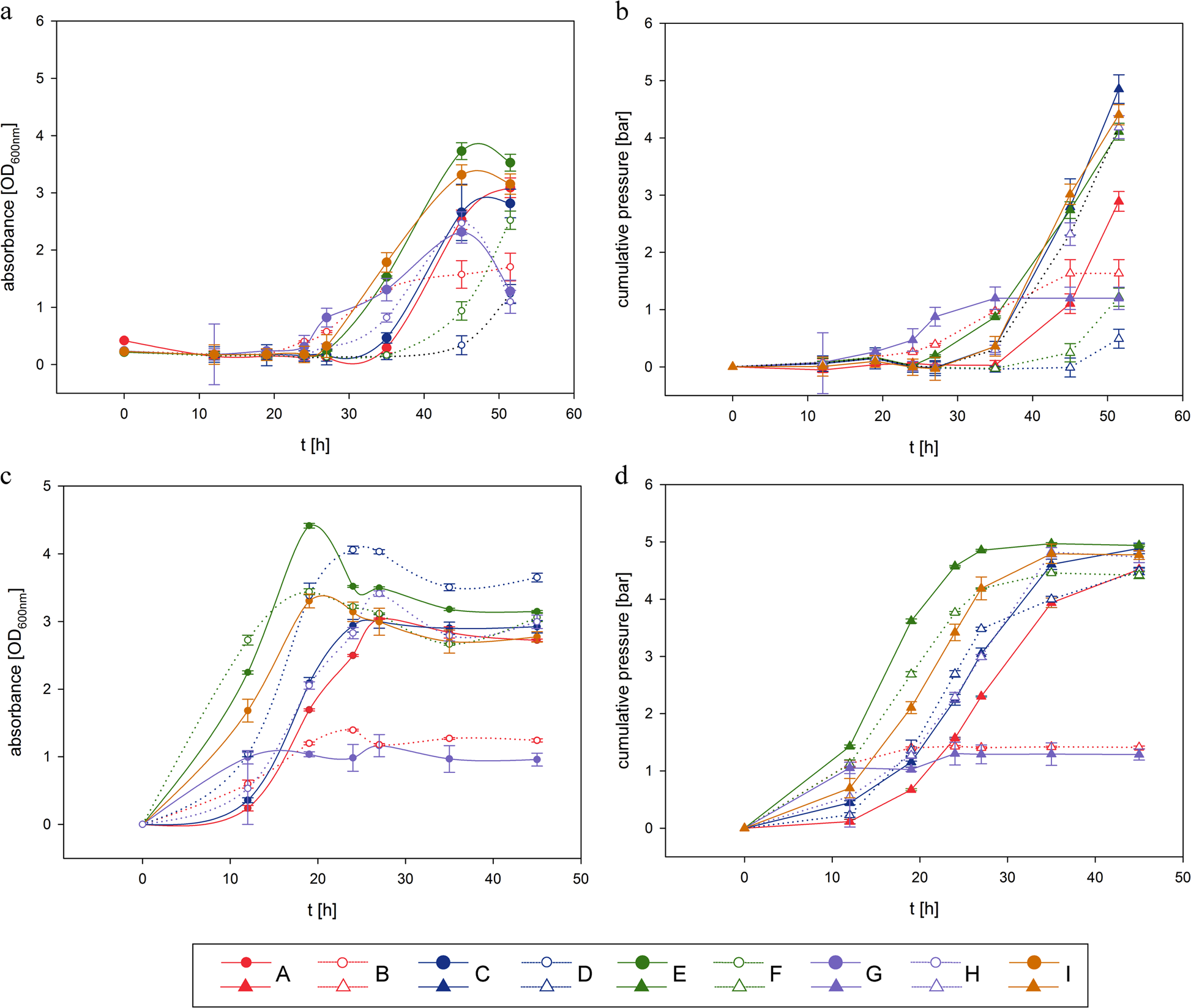
Fig. 1: Optical density and cumulative pressure measurements of C. acetobutylicum and E. aerogenes on different DoE media.
From: Biohydrogen production beyond the Thauer limit by precision design of artificial microbial consortia

Optical density of C. acetobutylicum and E. aerogenesare shown in a and c, respectively. Cumulative pressure of C. acetobutylicum and E. aerogenes are shown in b and d, respectively.