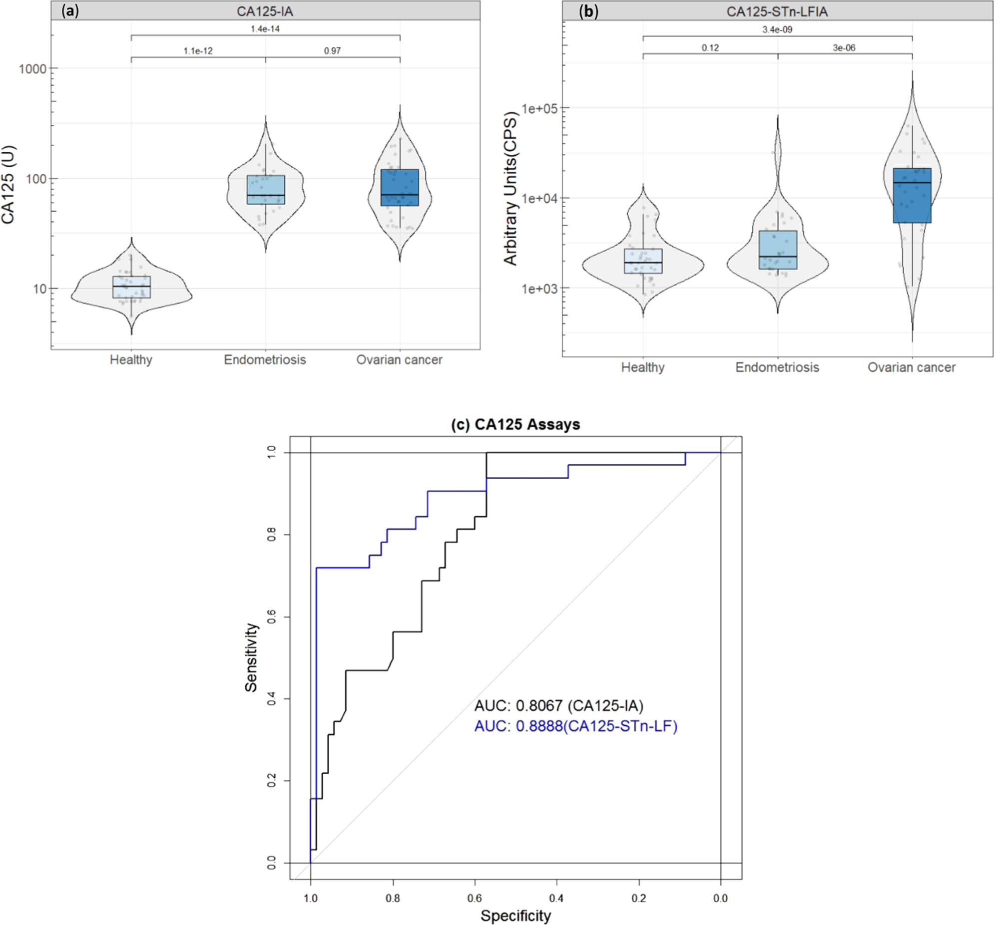
Fig. 2: Evaluation of the developed assay.
From: Glycovariant-based lateral flow immunoassay to detect ovarian cancer–associated serum CA125

We evaluated the assay using healthy controls (n = 40), benign endometriosis (n = 30), and EOC samples (n = 32). The healthy controls were <35 U/mL and the EOC and endometriosis samples were marginally elevated for serum CA125 concentrations (35–200 U/mL). a Discrimination of the EOC from benign endometriosis and healthy controls using the conventional CA125 test. b The developed CA125-STn-LF test significantly discriminated between the tested EOC from endometriosis and healthy samples. The line through the middle of the boxes corresponds to the median and the lower and the upper lines to the 25th and 75th percentile, respectively. c Receiver operating curves (ROC) describing the performance of CA125-STn-LFIA in comparison to the CA125-IA. The relatively higher AUC from CA125-STn-LFIA indicates high level of test accuracy and specificity towards CA125 of EOC cases. The 95% confidence intervals for CA125-STn-LFIA and CA125-IA were 0.8054–0.9576 and 0.7188–0.8826, respectively.