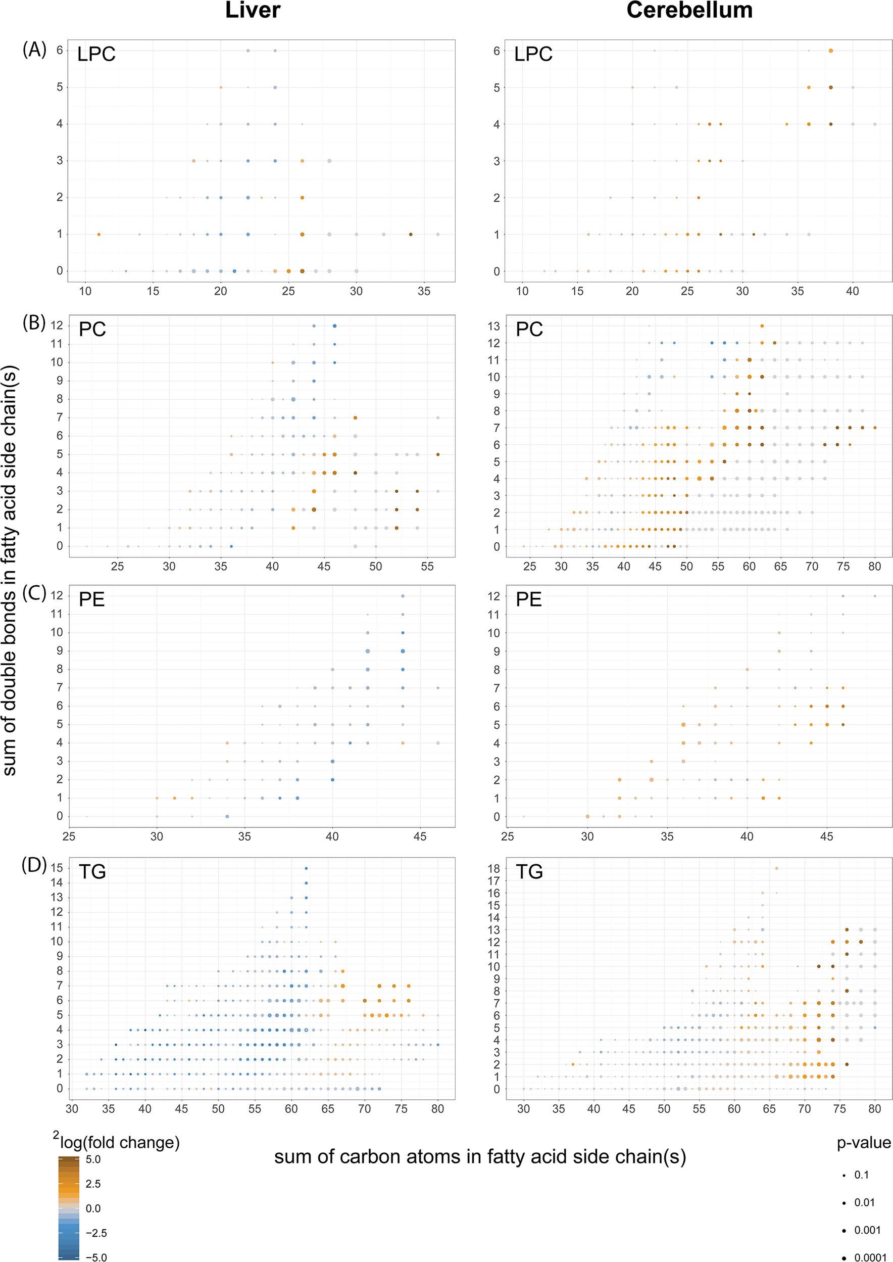
Fig. 8: Fatty acid composition of phospholipids from cerebelli and livers of Acbd5−/− mice.

Comparison of the fatty acid composition detected in (a) lyso-phosphatidylcholines (LPC), (b) phosphatidylcholines (PC), (c) phosphatidylethanolamines (PE) and (d) triacylglycerols (TG) from liver and cerebellum of Acbd5−/− and Acbd5+/+ male mice (value obtained from 5 one-year-old males per experimental group); (*p < 0.05, **p < 0.01, ***p < 0.001, unpaired t-test, two-sided).