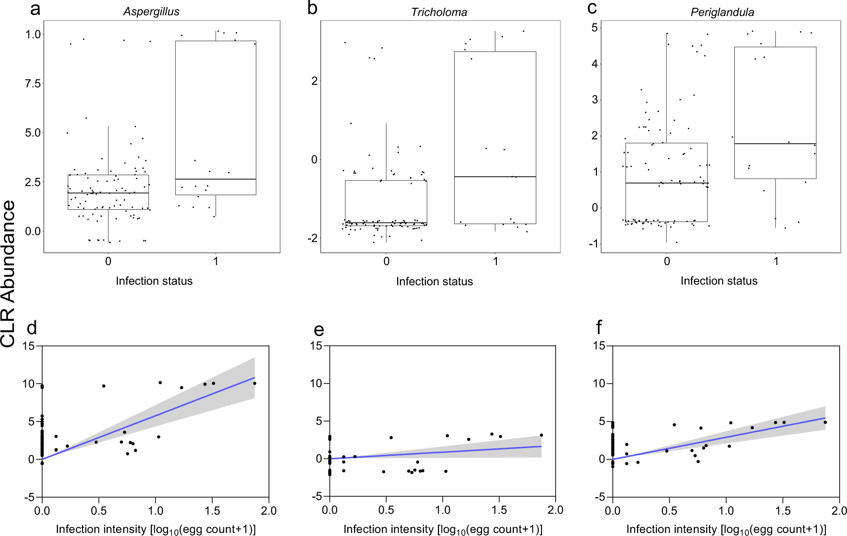
Fig. 4: Different fungi genera between schistosome-infected children compared to uninfected children.

(a–c) Box plots showing the mean abundance of specific fungi genera, grouped by S. haematobium infection status. The horizontal box lines represent the first quartile, the median and the third quartile. Whiskers denote the range of points within the first quartile −1.5× the interquartile range and the third quartile +1.5× the interquartile range. (d–f) Scatter plots showing linear regression analysis of S. haematobium infection intensity and fungi genera abundance. The clr-transformed abundance data were used for all plots. Infection status was coded as 0 and 1 for negative (n = 95) and positive (n = 18), respectively. S. haematobium infection intensity was log transformed [log10 (egg count + 1)]. Shaded areas indicate the 95% confidence intervals.