Fig. 7: Comparison of GC contents among JNa, JNb, LY, and XN.
From: Evolutionary and genomic comparisons of hybrid uninucleate and nonhybrid Rhizoctonia fungi

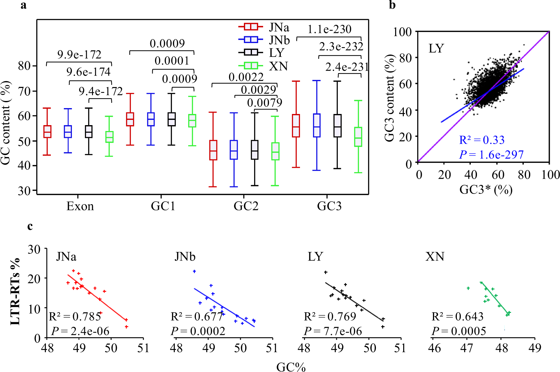
a The exonic GC content of XN orthologous genes (4,508) was markedly different from that of LY, JNa, or JNb, and the difference was predominant from the third codon positions (GC3) in relation to the first (GC1) and second codon positions (GC2). The medians and the ranges were following: exon XN 51.36 (42.26–68.75), JNa 53.39 (44.07–70.38), JNb 53.44 (40.78–70.99), LY 53.38 (44.07–70.54); GC1 XN 57.38 (37.36–72.12), JNa 58.68 (40.16–73.75), JNb 58.67 (32.94–74.39), LY 58.66 (40.16–73.86); GC2 XN 45.52 (27.03–67.34), JNa 45.91 (22.56–69.36), JNb 45.90 (22.56–69.42), LY 45.93 (22.56–69.57); GC3 XN 50.98 (34.18–80.12), JNa 55.50 (36.72–89.57), JNb 55.57 (37.85–88.10), LY 55.50 (36.72–90.05). P values were shown above the connected comparisons and estimated according to the Student’s t test. b Correlation between the frequency of GC3 and equilibrium GC3 content (GC3*), reflecting the AT to GC substitution rates of LY compared with XN orthologs at the third codon positions. GC3* value was calculated as the ratio between the AT to GC substitution rates (XN to LY) using the model of Sueoka107. GC3* = u [(AT→GC) + (AT→CG)]/[(AT→GC) + (AT→CG) + (GC→AT) + (GC→TA)]. The diagonal line in purple and the correlation line in blue. P values were calculated using Kendall’s rank correlation. c Reciprocal relationship was observed between chromosomal GC% and LTR-RTs content in JNa (y = −8.397x + 429.6), JNb (y = −6.884x + 350.8), LY (y = −7.156x + 366.6), and XN (y = −13.60x + 663.7).