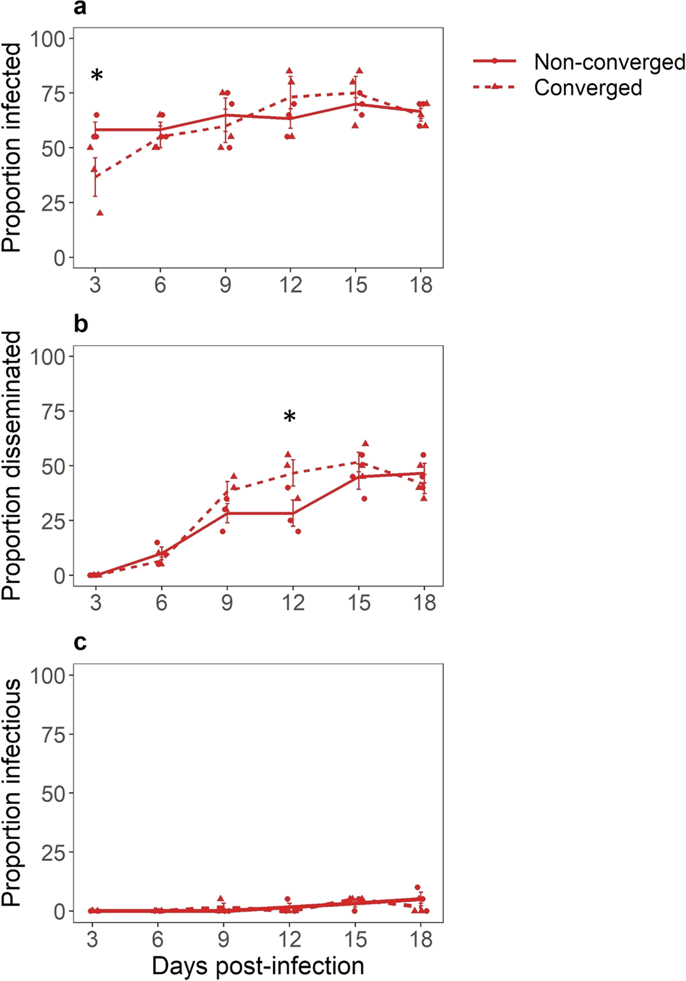
Fig. 3: The effect of harmonic convergence on dengue-2 virus infection.

The effect of parental convergence status (Non-converged, solid lines; Converged, dotted lines) on different metrics of dengue-2 virus (DENV) infection in female Aedes aegypti offspring. a Proportion of infected mosquitoes with DENV positive bodies on days 3, 6, 9, 12, 15, and 18 post infection (n = 720 observations). b Proportion of mosquitoes with disseminated infection, with DENV positive heads and legs on 3, 6, 9, 12, 15, and 18 days post-infection (n = 448 observations). c Proportion of infectious mosquitoes with DENV positive saliva on 3, 6, 9, 12, 15, and 18 post infection (n = 206 observations). Data points represent mean values for each treatment and each biological replicate with error bars showing standard error of the overall mean at each time point post infection. Significant differences in infection and dissemination rate at a certain time point are indicated by asterisks (p < 0.05).