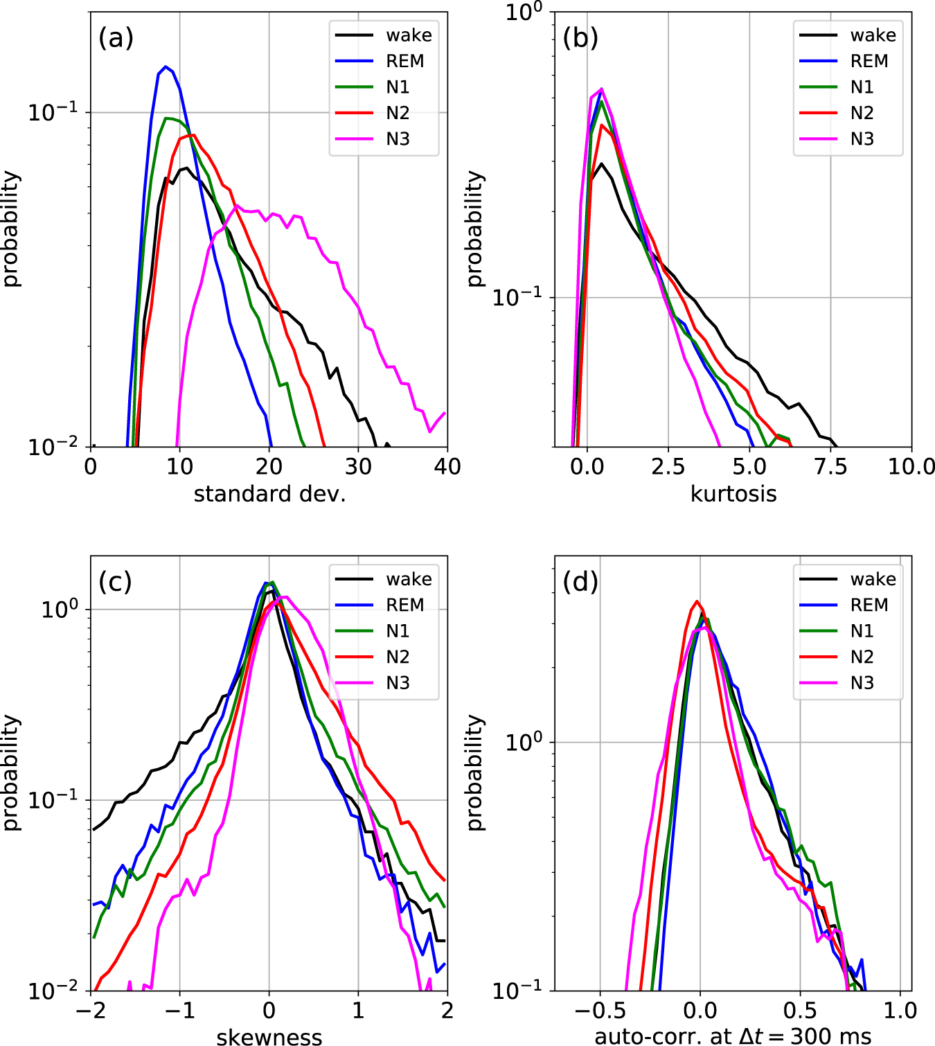
Fig. 3: Sleep-stage-dependent distributions of selected hyper-parameters.
From: Sleep as a random walk: a super-statistical analysis of EEG data across sleep stages

Probability density distributions of hyper-parameters extracted from the raw EEG data shown in Fig. 1. a Standard deviation STD. b Kurtosis KUR. c Skewness SKE. d Autocorrelation at lag time 300 ms, denoted as CDT.