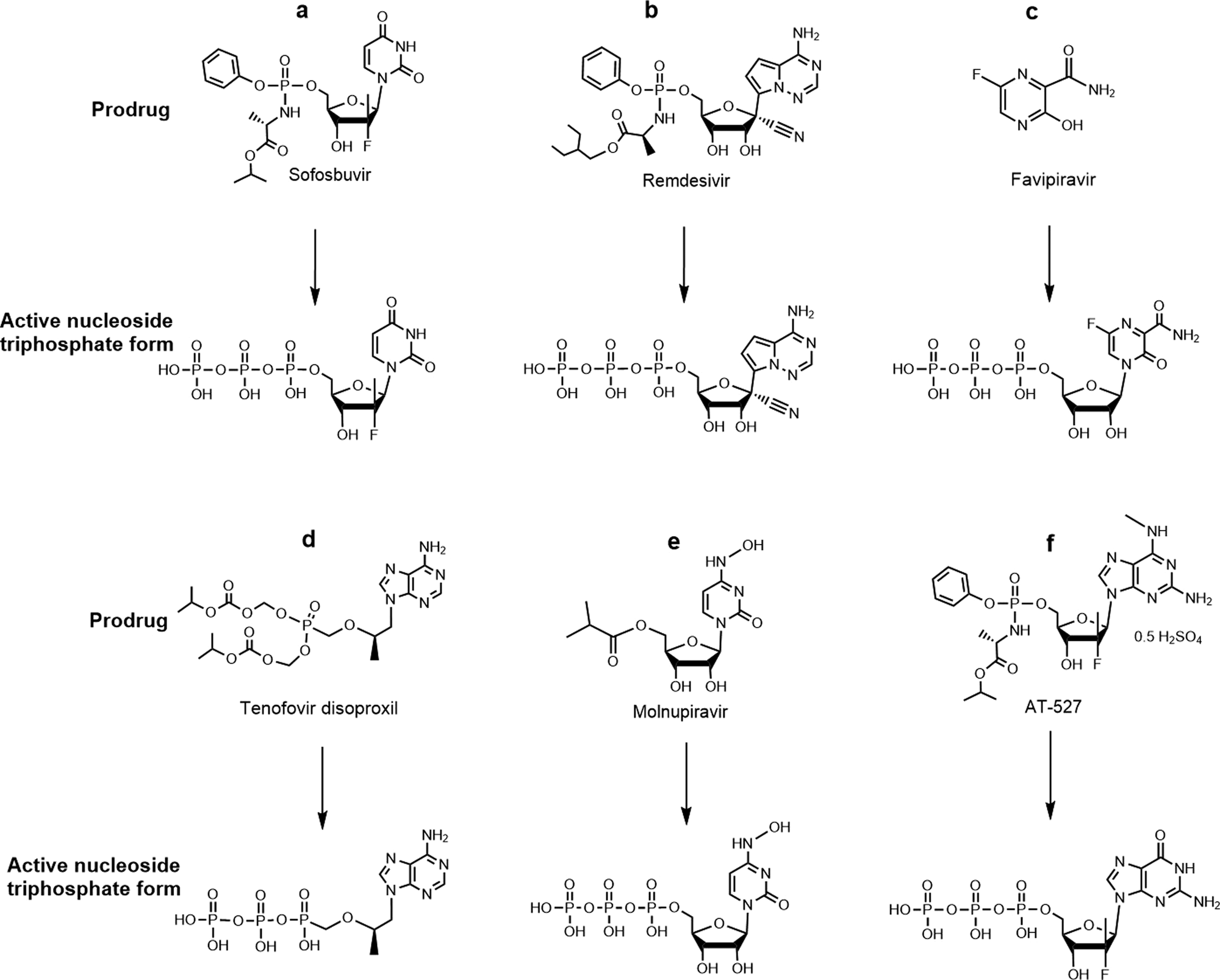
Fig. 1: Prodrugs and their active triphosphate forms.

Structures of the prodrugs Sofosbuvir (a), Remdesivir (b), Favipiravir (c), Tenofovir disoproxil (d), Molnupiravir (e), and AT-527 (f) (top) and their respective active triphosphate forms Sofosbuvir-5’-triphosphate, Remdesivir-5’-triphosphate, Favipiravir-ribofuranosyl-5’-triphosphate (Favipiravir-RTP), Tenofovir diphosphate, N4-hydroxycytidine-5’-triphosphate (NHC-TP), and 2’-fluoro-2’-methyl guanosine-5’-triphosphate (AT-9010, Gfm-TP) (bottom).