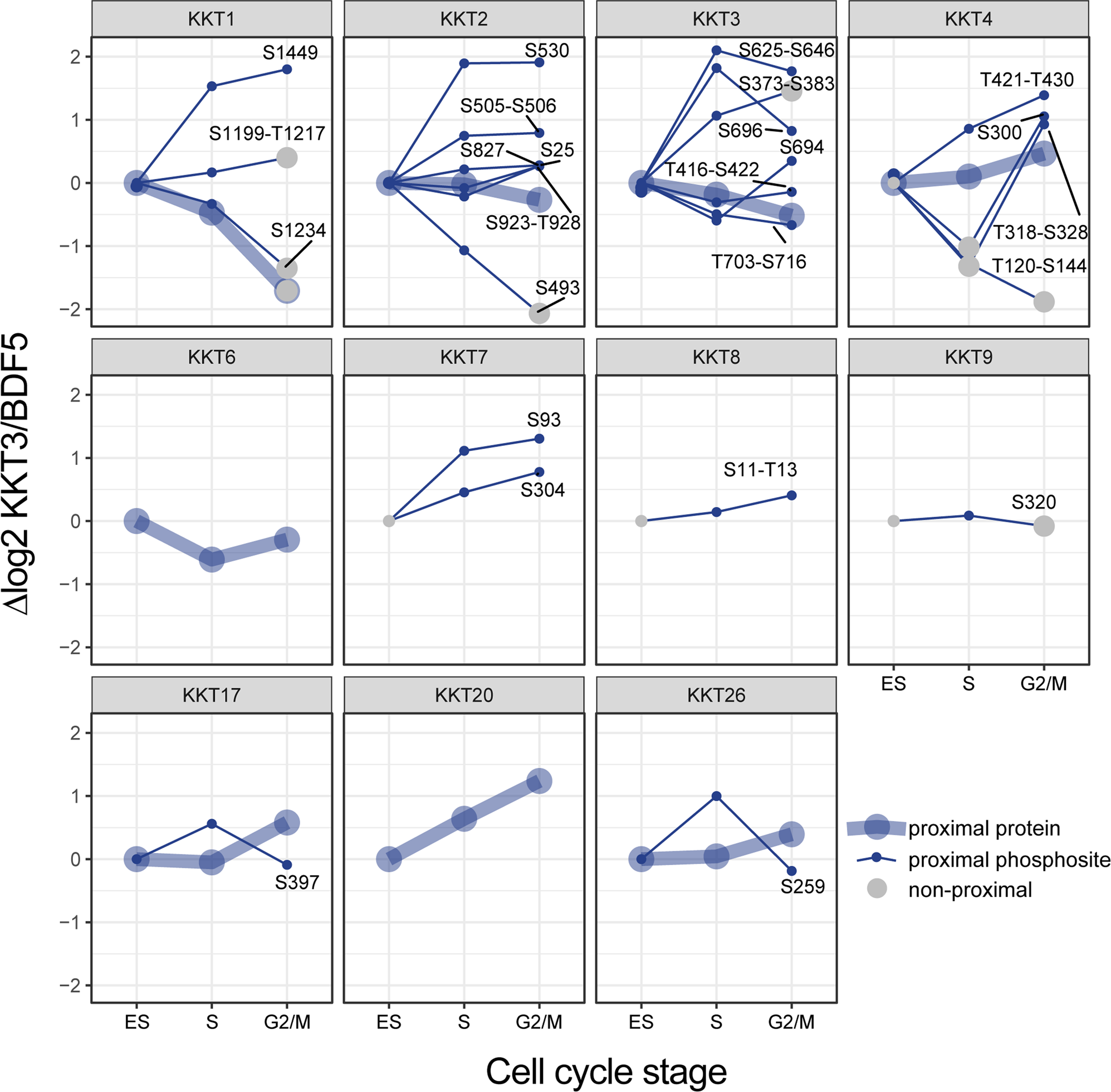
Fig. 3: Proximal profile plots of kinetochore proteins and phosphosites during the cell cycle.

Kinetochore proteins and phosphosites proximal in at least one of the timepoints are shown. At each timepoint, mean log2 fold enrichments against BDF5::mT spatial reference are normalised to the log2 fold enrichment at time 0, n = 5. Where a phosphosite could not be confidently localised, the possible phosphorylated region is indicated.