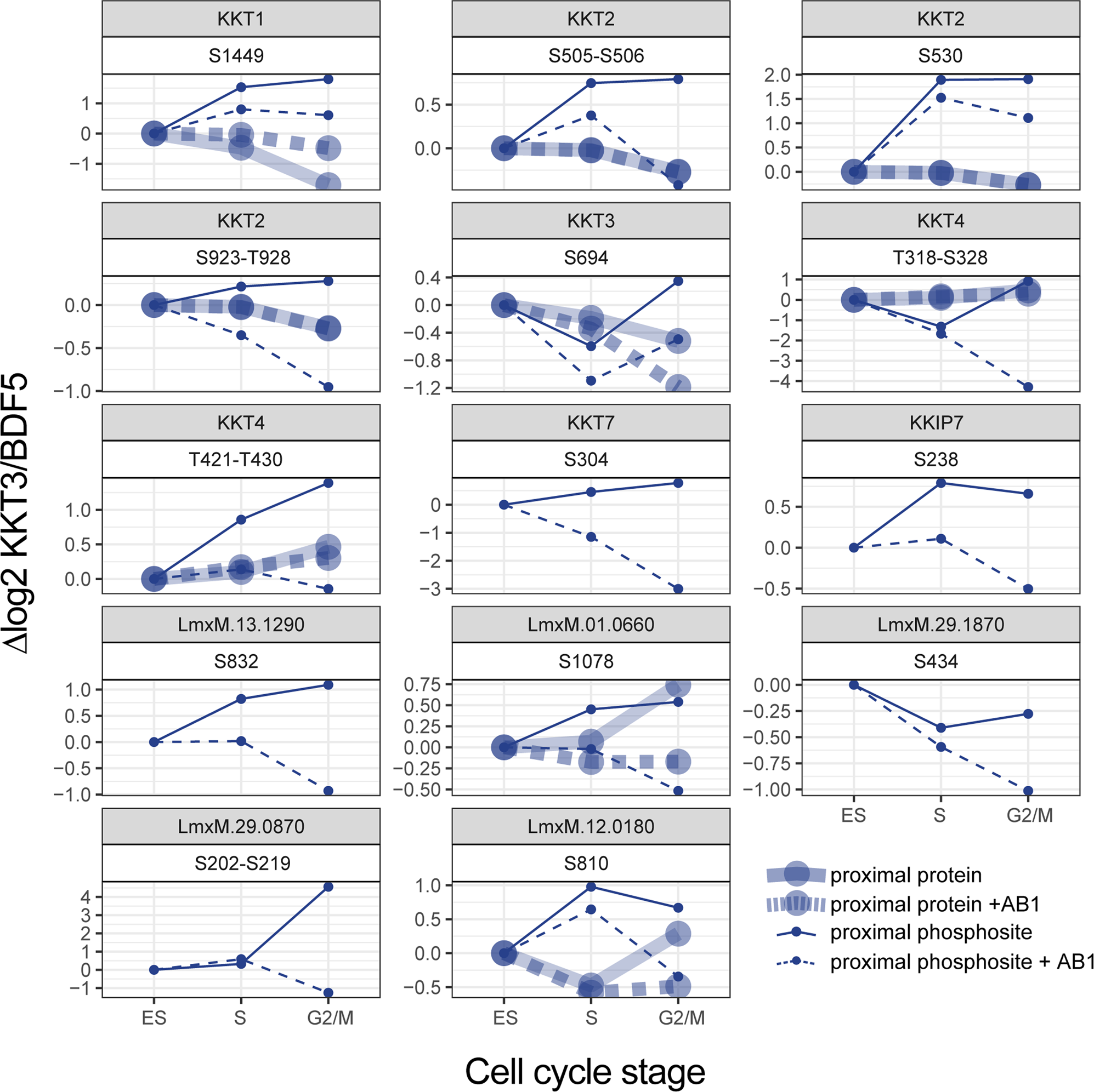
Fig. 6: Proximal profile plots of AB1 responsive phosphosites and protein levels.

At each timepoint, mean log2 fold enrichments against BDF5 spatial reference are normalised to the log2 fold enrichment at time 0, n = 5. Where a phosphosite could not be confidently localised, the possible phosphorylated region is indicated.