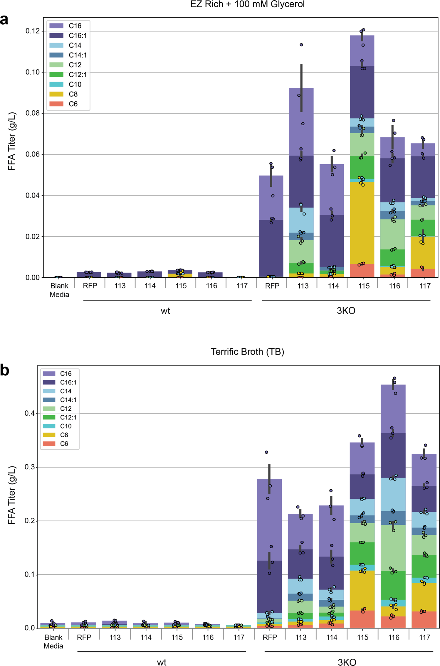
Fig. 3: FFA production profile across various ‘TesA variants in wt and 3KO background strains.

a FFA production in EZ Rich medium supplemented with 100 mM glycerol. b FFA production in TB. Values shown represent the mean of biologically independent samples (n = 3), and error bars show standard error of the mean.