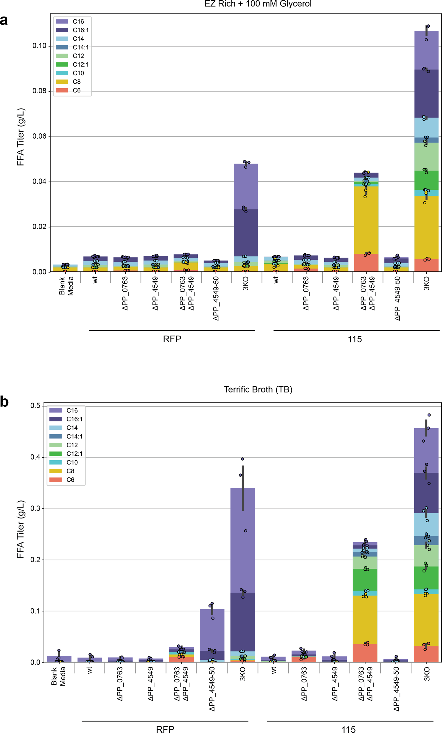
Fig. 4: FFA production profile across various P. putida background strains after overexpression of RFP or ‘TesA R3.M4.

a FFA production in EZ Rich medium supplemented with 100 mM glycerol. b FFA production in TB. Values shown represent the mean of biologically independent samples (n = 3), and error bars show standard error of the mean.