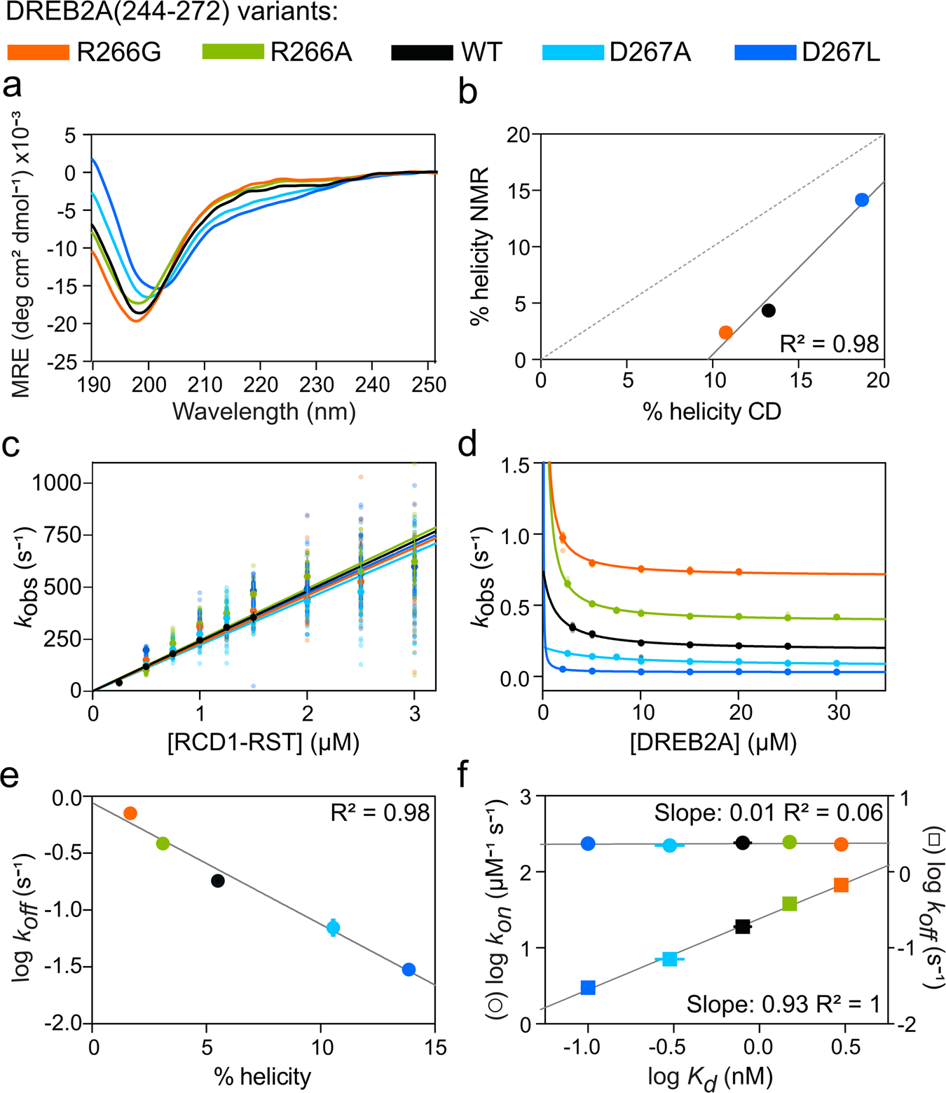
Fig. 3: Amount of residual helicity of DREB2A(244-272) variants correlates with complex structure and lifetime.

Analysis of DREB2A(244-272)-WT and variants R266G, R266A, D267A, and D267L. a Far-UV (190-250 nm) CD spectra of DREB2A variants at 0% (v/v) TFE. All spectra were recorded on 24 µM peptide in 10 mM Na2HPO4/NaH2PO4 pH 7.0, 25 °C, and are an average of 10 scans. Raw data available as Supplementary Data 3. b Correlation between amount of α-helix in free DREB2A variants measured by NMR and CD spectroscopy. A standard curve was generated by linear regression (Y = 1.538x-14.93). The dashed line represents a perfect 1:1 correlation. c Association and d dissociation kinetics recorded by stopped-flow fluorescence spectroscopy at 10 °C in 50 mM HEPES pH 7.4, 100 mM NaCl buffer. All individual data points are shown and error bars represent standard deviation from repetitions. Raw data available as Supplementary Data 4. e Correlation between dissociation kinetics and α-helix content calculated from the standard curve. f LFER plot showing the relationship between kon and koff and Kd upon substitution. Linear regression of log kon and log koff is shown. Error bars represent standard error from fit.