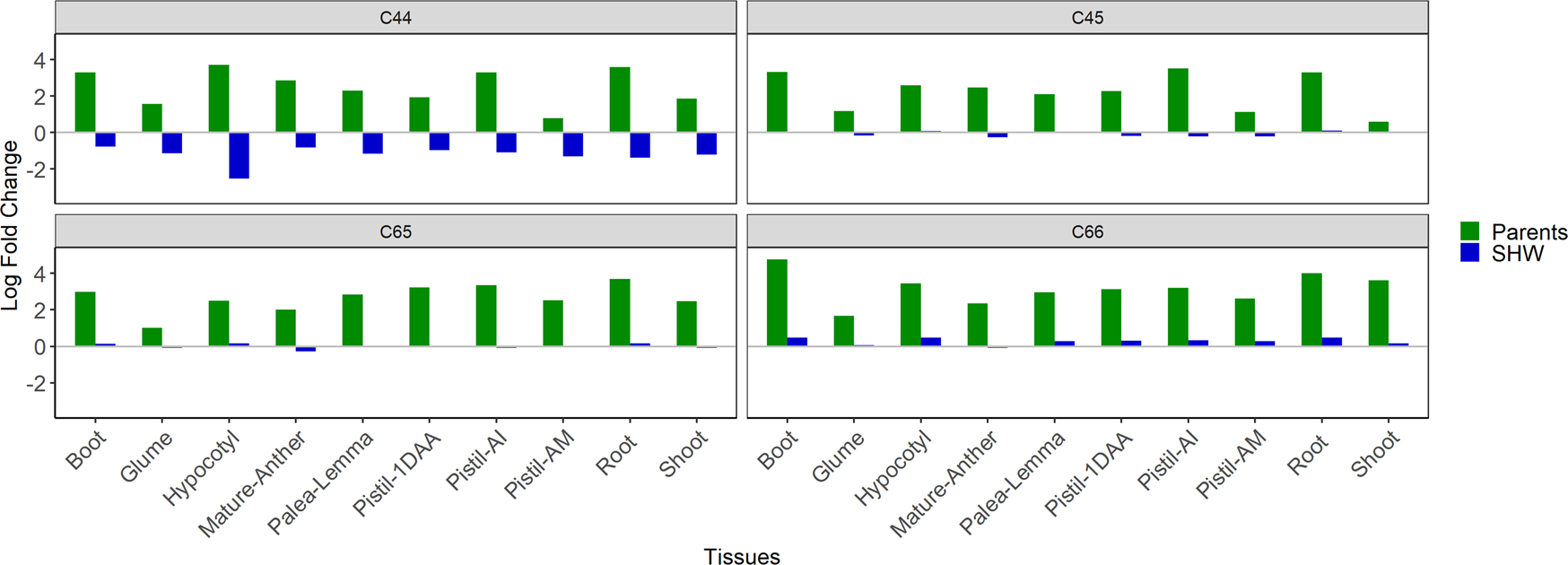
Fig. 3: Comparison of ratios of triads significantly biased towards AB and D subgenomes within a genomic background (parents and SHWs).

The ratios are represented as log fold change (LogFC) values. A LogFC < 0 indicates more triads are biased towards the AB subgenome than the D subgenome and a LogFC > 0 indicates more triads are biased towards the D subgenome than the AB subgenome, within a genomic background. C44, C45, C65 and C66 are the four SHWs taken for the study. The green bars represent the ratios in the parental genomic background and the blue bars represent the SHW genomic background. Pistil-1DAA pistil-one day after anthesis, Pistil-AM pistil-when anthers are at mature stage, Pistil-AI pistil-when anthers are at immature stage, Boot head at boot stage.