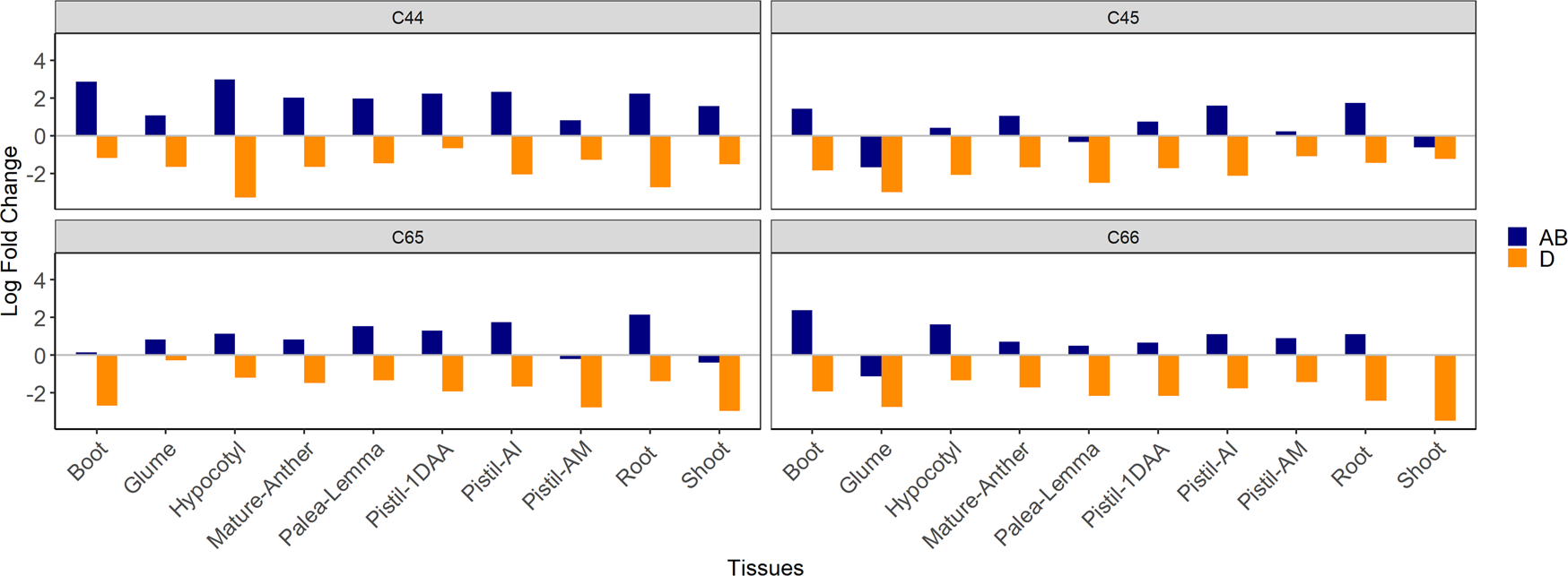
Fig. 4: Comparison of ratios of triads significantly biased towards AB and D subgenomes between genomic backgrounds (parents vs SHWs).

The ratios are presented as log fold change (LogFC) values. A LogFC > 0 indicates more triads are biased towards the AB subgenome in the SHW background than the parental background and a LogFC < 0 indicates more triads are biased towards the AB subgenome in the parental background than the SHW, similarly for D subgenome. C44, C45, C65 and C66 are the four SHWs used for the study. The navy blue and dark orange bars represent the triads showing significant expression bias towards AB and D subgenomes, respectively. Pistil-1DAA pistil-one day after anthesis, Pistil-AM pistil-when anthers are at mature stage, Pistil-AI pistil-when anthers are at immature stage, Boot head at boot stage.