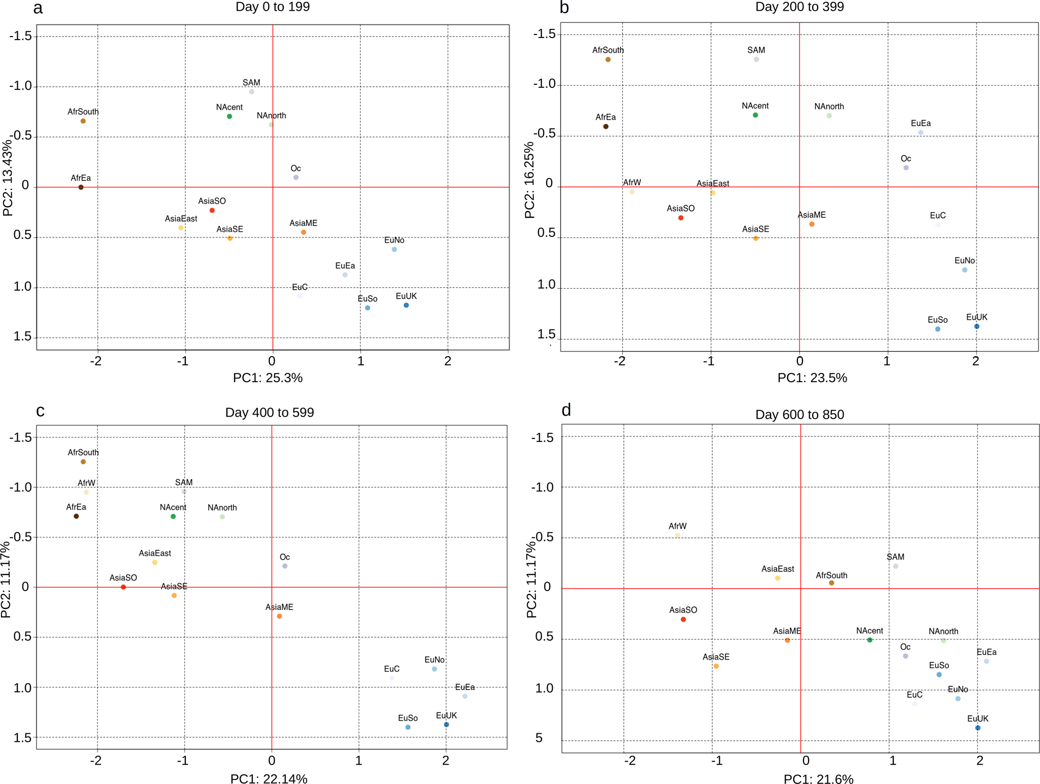
Fig. 1: Principal component analysis of genomic variants frequencies in different geographic macro-areas.
From: HaploCoV: unsupervised classification and rapid detection of novel emerging variants of SARS-CoV-2

Four distinct time intervals are considered, with time T0 set at Time 0 = December 26th 2019: the day of reported isolation of the first SARS-CoV-2 genomic sequence. a from day 0 to 199. b from day 200 to 399. c from day 400 to 599, d from day 600 to 850. The following acronym are used for different geographic areas AfrCent Central Africa, AfrEast Eastern Africa, AfrN Northern Africa, AfrSouth Southern Africa, AfrW Western Africa, AsiaCent Central Asia, AsiaEast Eastern Asia, AsiaME Middle East, AsiaSE South Eastern Asia, AsiaSO Southern Asia, Euc Central Europe, EuEa Eastern Europe, EuNo Northern Europe, EuSo Southern Europe, EuUK United Kingdom, NAcent central America, NAnorth North America, Oc Oceania, SAM South America. See Supplementary Data 3 for the correspondence between geographic areas and countries.