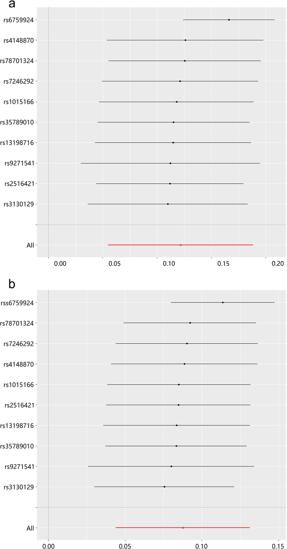
Fig. 2: Leave-one-out plots for the causal effect of MN on lung cancer.

a MN on lung cancer. b MN on lung cancer (val). The black line is the deviation of the 95% confidence interval corresponding to the estimate of the SNPs. The red line corresponds to the estimated value of the IVW test. After removing SNPs one by one, there was no difference with the final result. MN membranous nephropathy, val validation, SNPs single-nucleotide polymorphisms.