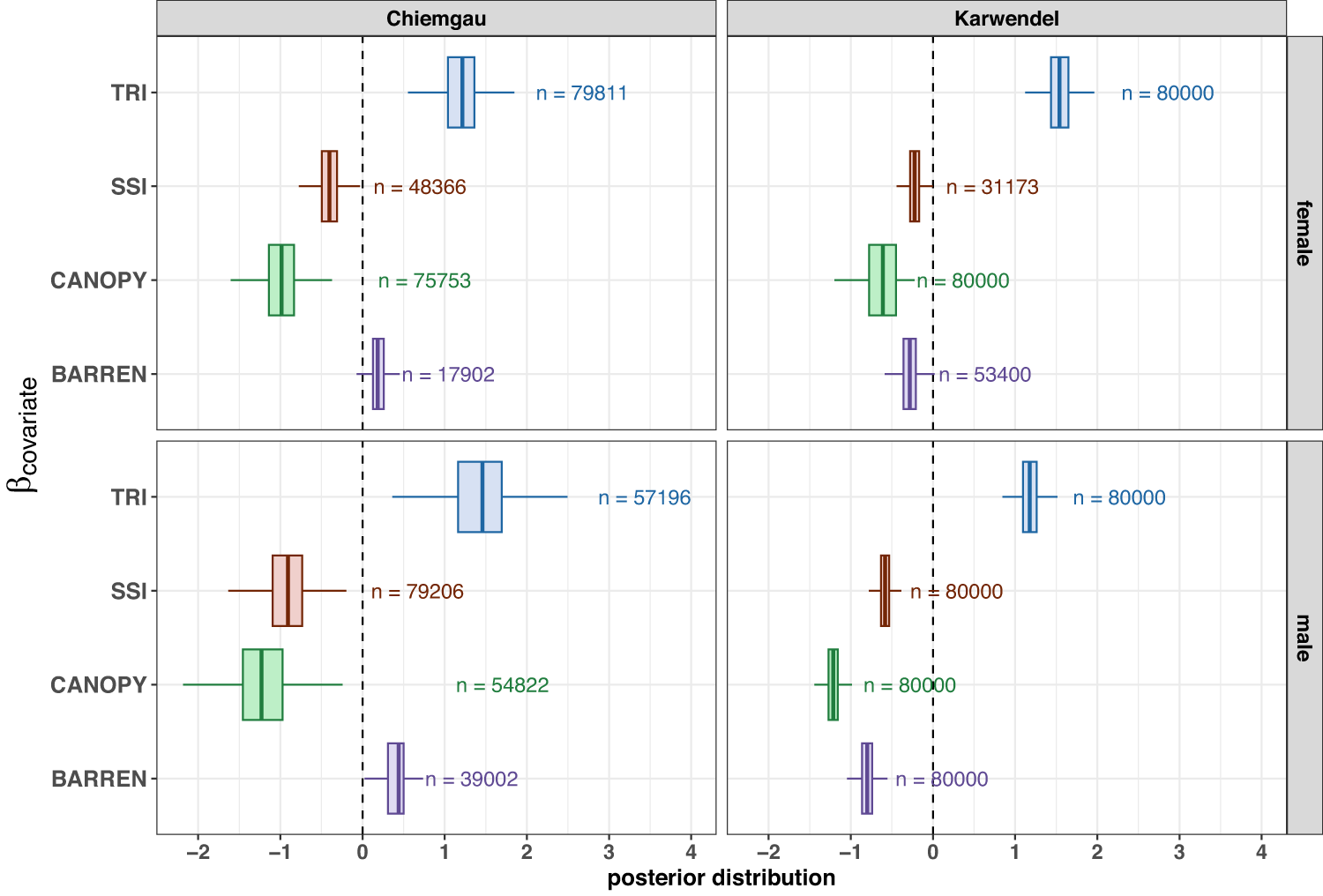
Fig. 2: Posterior probability distribution of coefficients describing the relationship between chamois density and habitat covariates estimated by the Bayesian SCR model.

Coefficients are derived from posterior samples for iterations when the rjMCMC variable indicated that the habitat variable was included in the model (n = number of iterations with indicator variable γ = 1 and used in the boxplots). Boxplots depict the 1.5 interquartile range (whiskers), lower and upper quartiles (hinges) as well as median values of each distribution.