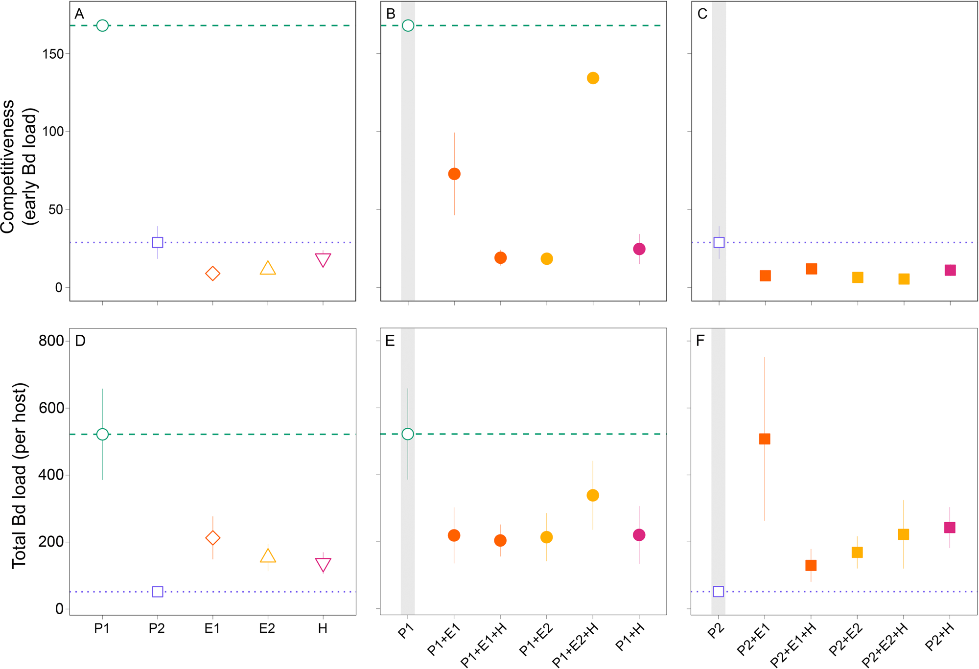
Fig. 2: Competitiveness and transmission potential of Batrachochytrium dendrobatidis (Bd) in both single- and mixed-genotype infections.

A–C The competitiveness of each genotype is represented as mean Bd load (± standard deviation [SD]) during the first time point of the assay (day 21 post inoculation). D–F Transmission potential is represented as the average Bd load (± SD) after death or on day 76 at the end of the experiment. Competitive suppression could either help reduce the transmission potential of more virulent genotypes (P1; E) or increase the transmission potential of less virulent genotypes (P2; F). Gray shades in figures highlight single-genotype infections. Infection loads are represented by Bd concentration in pg/μl.