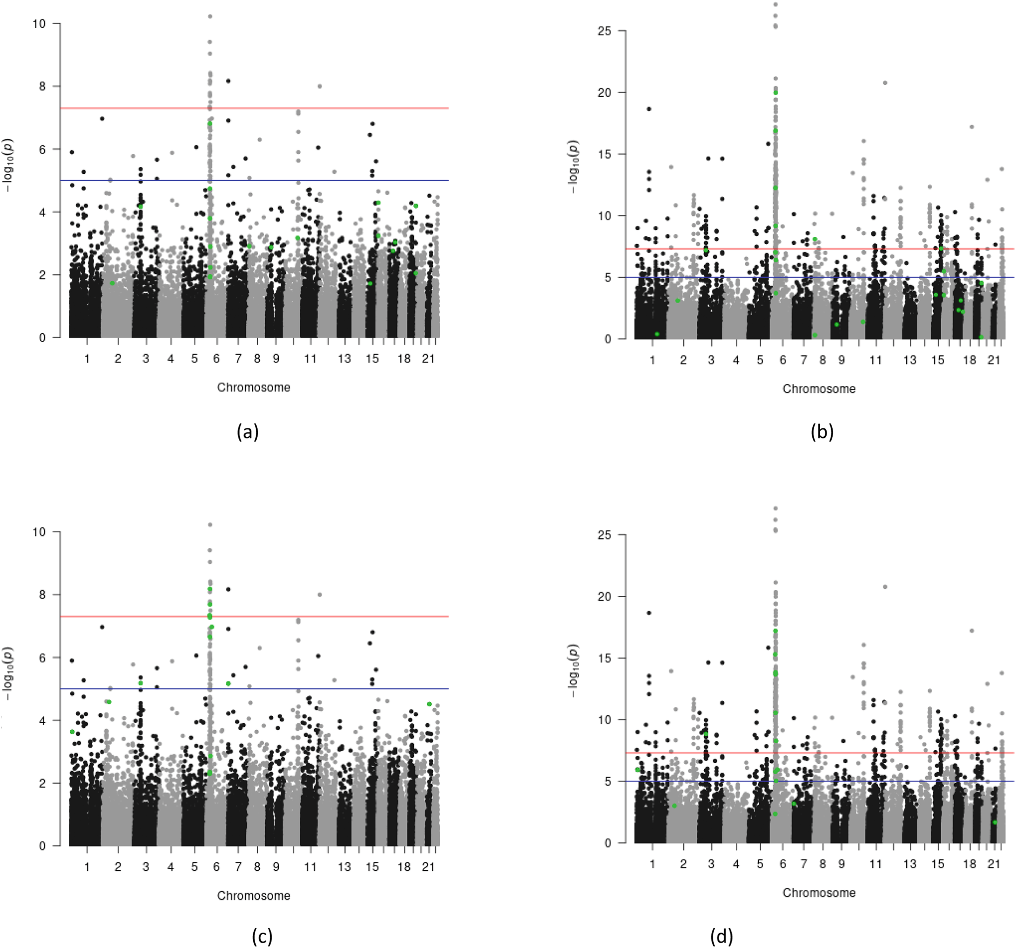
Fig. 3: Identifying variants nominated by EUGENE and SMR methods in wave 1 schizophrenia GWAS results and their results in the wave 2 GWAS results.

Manhattan plots of schizophrenia GWAS waves 1 (SCZ1; a, c) and 2 (SCZ2; b, d) with the variants nominated by the EUGENE (a, b) and SMR (c, d) methods using Brain eMETA cohort annotations (SMR2) highlighted in green. P-values were derived from applying MAGMA to SCZ1 and SCZ2, respectively. These plots include the full downloadable GWAS summary statistics for both SCZ GWAS waves, without excluding significant GWAS1 regions.