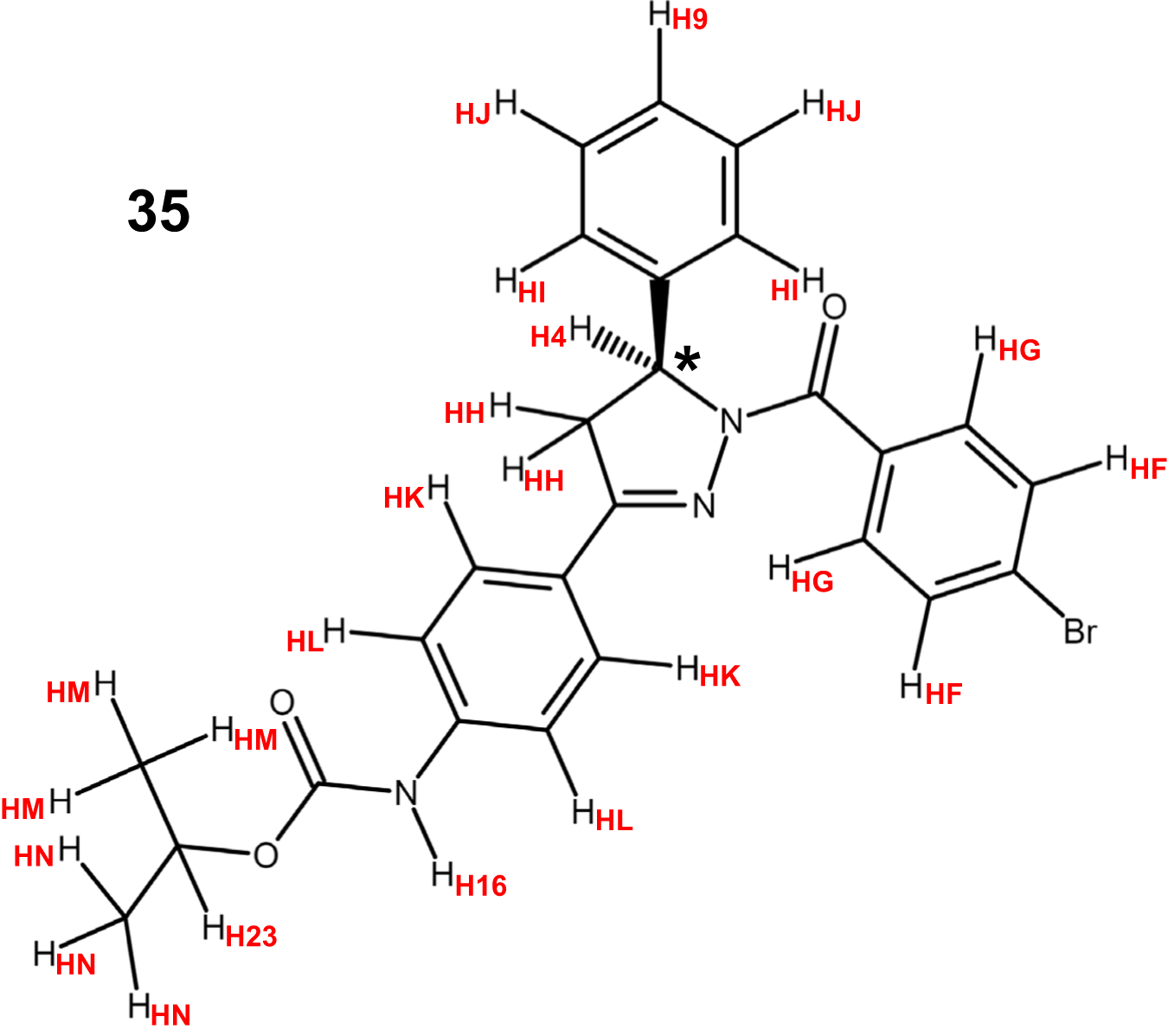
Fig. 1: Chemical structure of 35.
From: Structural insights for selective disruption of Beclin 1 binding to Bcl-2

The chiral center (indicated by a *) of the enantiomer that binds to Bcl-2 has the S configuration based on the intermolecular NOE data. The nomenclature used for hydrogen atoms in structure calculations is indicated by the red labels.