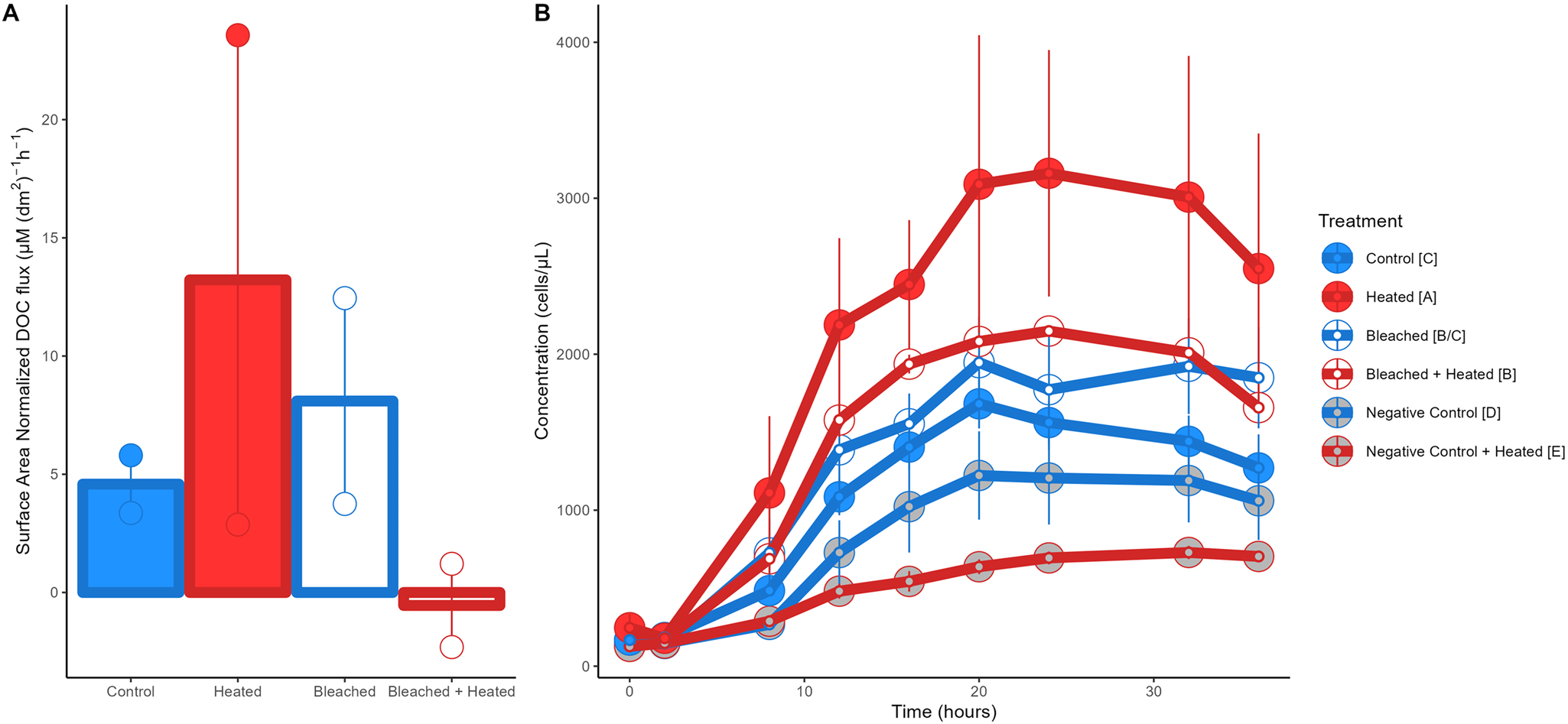
Fig. 2: DOC exuded and microbial growth on exudates.

A Bar plots of the mean surface area normalized DOC concentrations for the four coral treatments. Error bars indicate the standard error of the mean. B Bacterial growth curves for the six treatments in the 36 hour bottle incubation, error bars indicate standard error of the mean. Significant differences between treatments (Tukey post-hoc test, p < 0.05) are denoted by the square brackets after each treatment name in the legend.