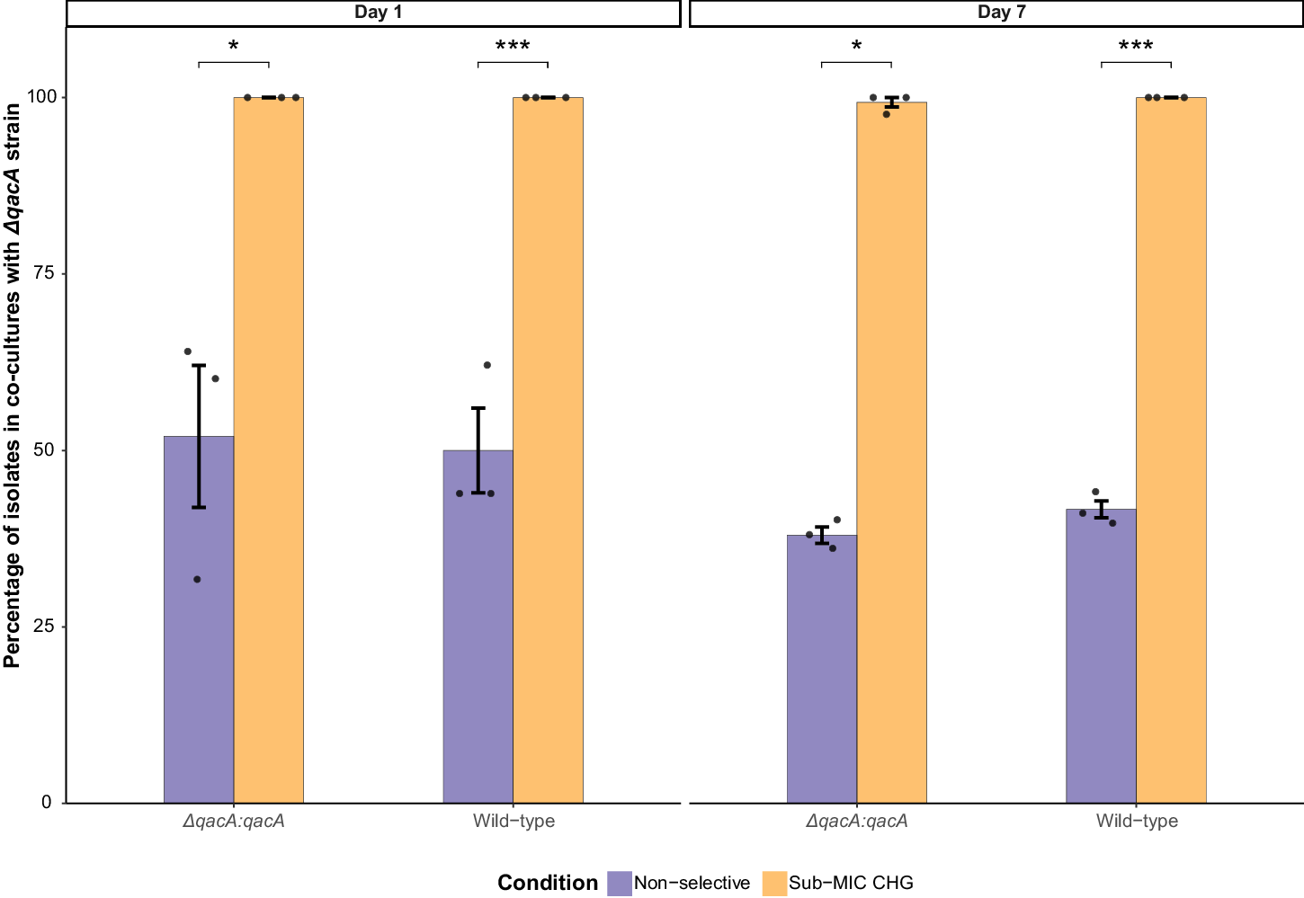
Fig. 3: In vitro competition assays using co-cultures of AUSMDU00020487 wild-type paired with ΔqacA strain, and ΔqacA:qacA paired with ΔqacA strain.

These co-cultures were exposed to either non-selective (purple) or selective condition using 0.5 mg/L CHG (yellow) for 7 days. Three biological replicates denoted by the black dot points were performed for each condition tested. The mean percentages of wild-type or ΔqacA:qacA strains on day 1 and day 7 post-exposure are displayed, with the black error bars representing the standard error of the mean. Asterisks denote statistically significant differences as determined by paired t test (*P ≤ 0.05 and ***P ≤ 0.001).