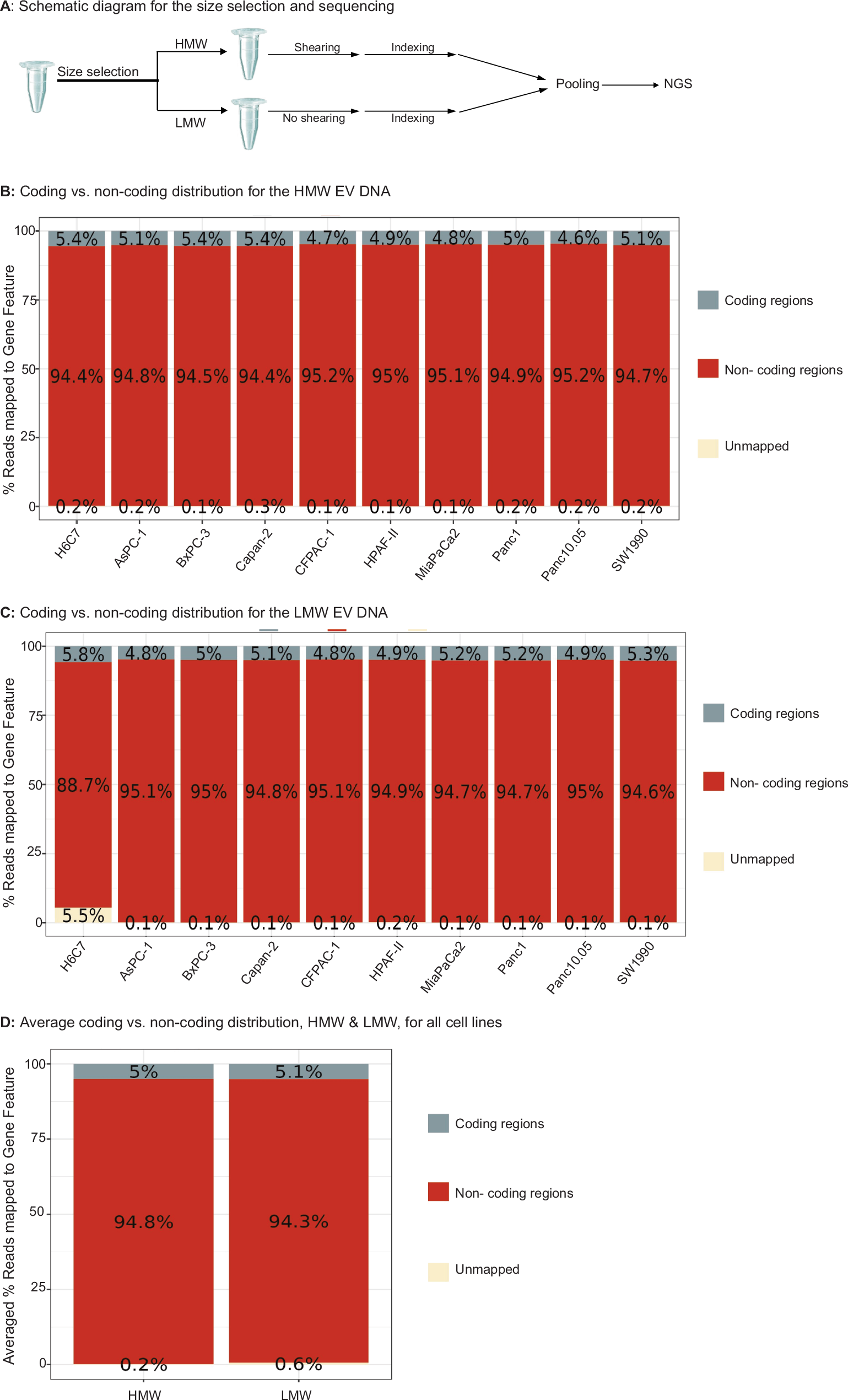
Fig. 3: Whole genome sequencing analysis demonstrated a large proportion of EV DNA molecules from non-coding regions of the genome.

A Schematic diagram of the size selection. Following the sequencing of the DNA from the EVs (isolated by the kit-based method), the reads were re-aligned against the human genome, the percentage of reads from the high (B) or low (C) molecular weight fraction mapping to the coding or non-coding regions was determined bioinformatically, and graphed. D Average of the reads mapping to coding vs. non-coding regions from all ten cell lines.