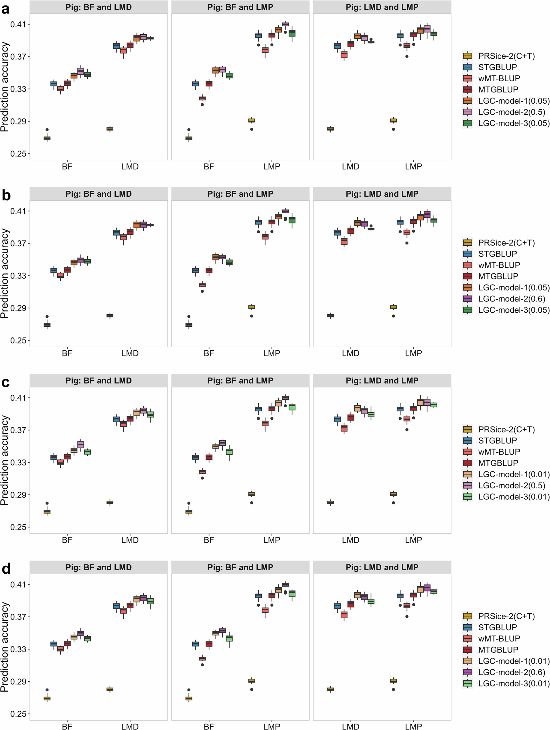
Fig. 6: Genomic prediction accuracies of different models for the pig dataset.
From: Improving multi-trait genomic prediction by incorporating local genetic correlations

a–d Represent different scenarios by varying the thresholds of the LGC models. For LGC-model-1 and LGC-model-3, two thresholds for significance were applied: P = 0.01 or 0.05. For LGC-model-2, two thresholds for distinguishing strong correlations were applied: \(|{r}_{{lgc}}|\) = 0.5 or 0.6. Prediction accuracy was measured as the Pearson correlation coefficient between corrected phenotypic values and predicted genetic values. BF backfat thickness at 100 kg (mm). LMD loin muscle depth at 100 kg (mm). LMP lean meat percentage at 100 kg.